garch模型

浙江大学精品课程--中级计量经济学ppt garch(m,s)模型 rt = µt
图片尺寸1080x810
r语言garch族模型正态分布tged分布egarchtgarch的var分析股票指数
图片尺寸640x586
python数据分析基于garch模型股票趋势预测分析
图片尺寸890x564
r语言风险价值arimagarch模型滚动估计预测var和回测分析股票时间序列
图片尺寸1920x1344
拓端tecdatr语言时间序列garch模型分析股市波动率
图片尺寸486x192
海归讲解garch模型
图片尺寸1080x810
免费文档 所有分类 高等教育 理学 arch类模型ppt garch模型 t 2 的
图片尺寸1080x810
garch-m模型 2. tarch模型 3. egarch模型
图片尺寸1080x810
时间序列相关性显著时建garch模型
图片尺寸434x197
时间序列分析非平稳序列的随机分析6条件异方差模型②garch模型
图片尺寸998x652
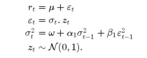
时间序列garch模型
图片尺寸461x195
r语言中的时间序列分析模型arimaarchgarch模型分析股票价格附代码
图片尺寸916x522
时间序列garch模型
图片尺寸505x367
r语言garch族模型正态分布tged分布egarchtgarch的var分析股票指数
图片尺寸480x384
r语言arma-garch模型金融产品价格实证分析黄金价格时间序列_检验
图片尺寸805x735
《arch与garch模型》
图片尺寸378x264
r语言garch族模型正态分布tged分布egarchtgarch的var分析股票指数
图片尺寸931x392
r语言中的时间序列分析模型arimaarchgarch模型分析股票价格附代码
图片尺寸806x490
极值理论evtpot超阈值garch模型分析股票指数var条件cvar多元化投资
图片尺寸1080x771
r语言中的时间序列分析模型arimaarchgarch模型分析股票价格附代码
图片尺寸900x300