gentamicin

奥青复方克霉唑乳膏Ⅱ20g
图片尺寸800x800
硫酸庆大霉素(gentamicin,cas:1405-41-0)
图片尺寸468x306
gentamicin solution promotion
图片尺寸600x600
狗狗蓝眼病治疗过程
图片尺寸1080x1439
cas号:1403-66-3分子式:c60h123n15o21英文名称:gentamicin中文别名
图片尺寸600x600
gentamicin sulfate
图片尺寸600x400
推荐一款猫咪常备的眼药水
图片尺寸1080x1440
兽用庆大霉素注射液 20万单位庆大针常规兽药批发现货10毫升*5支
图片尺寸790x1103
下,从福州湖泥中分离出一株小单孢菌,它产生的抗生素正是gentamicin
图片尺寸859x467
标准品 gentamicin sulfate 生化试剂 1405-41-0 100mg【标准品】
图片尺寸800x800
amicinsisomicinsisomicin (c1a oxidation peak)dehydrogentamicin
图片尺寸255x246
台湾杏辉滴朗 见大微素 狗猫结膜炎角膜溃疡消炎宠物抗病毒滴眼液
图片尺寸750x750
去除起来狂打脸!对抗妊娠纹大作战!
图片尺寸572x353
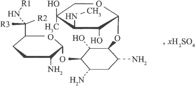
2结构式gentamicin sulfate3.1.3英文名liusuan qingdameisu3.1.
图片尺寸677x300
硫酸庆大霉素注射液 2ml:80mg(8万单位)*10支 开封制药(集团)有限公司
图片尺寸300x300
硫酸庆大霉素注射液价格对比 2ml:8万单位*10支 河南润弘制药
图片尺寸500x313
硫酸庆大霉素gentamicinsulfate
图片尺寸436x296
庆大霉素x2结构式常用名庆大霉素x2英文名gentamicin x2cas号36889-17
图片尺寸364x182
英文名称:gentamicin solution (50mg/ml)
图片尺寸597x597
gentamicin sulfate.jpg
图片尺寸800x800