geometric progression

等比数列(geometric progression).doc
图片尺寸792x1120
等比数列(geometric progression).doc
图片尺寸792x1120
281 variational payments (geometric progression)3 continous
图片尺寸1670x710
is geometric progression and β 1.
图片尺寸684x349
geometric progression, deltoid star (closeup)
图片尺寸320x240
p1:6.4 geometric progression等比数列
图片尺寸1728x1080
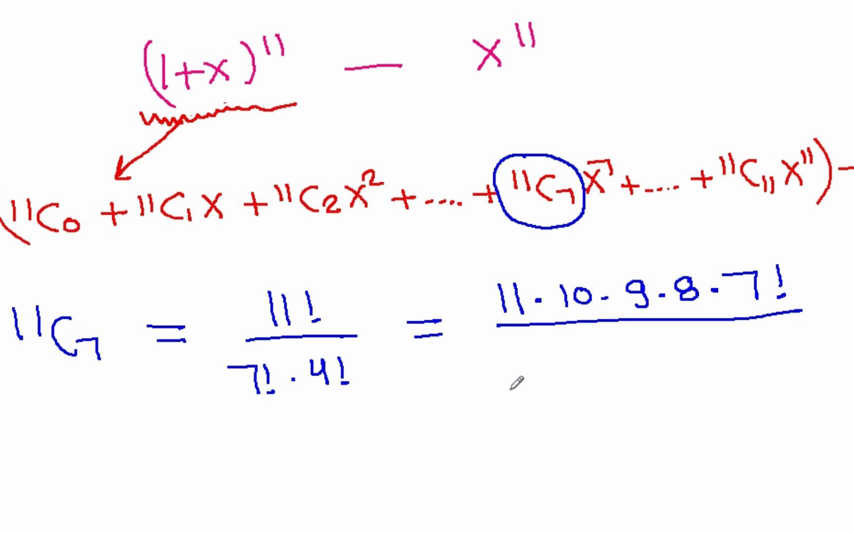
find coefficient of x^n binomial expansion geometric progression
图片尺寸1728x1080
geometric gan - 码农岛
图片尺寸872x680
geometric progression
图片尺寸300x300
等差数列(arithmetic progression)与等比数列(geometric progression
图片尺寸715x953
黑白风格几何图形高清背景图素材blackwhitegeometricbackgrounds
图片尺寸2340x1560
geometric function theory in fluid mechanics
图片尺寸1960x1469
3d几何图形抽象红白配色背景图素材3dgeometricabstractbackgrounds–
图片尺寸1170x780
geometric perspective vector polygon border posters
图片尺寸650x1045
transformer
图片尺寸927x304
from early stage embryos, which form a geometric progression in
图片尺寸800x1201
六边形立体几何图形创意背景图素材 hexagon geometric backgrounds
图片尺寸2340x1560
graphics interpretation practice test
图片尺寸495x369
怎么化简的?求过程
图片尺寸2079x922
sequence and series arithmetic geometric progression
图片尺寸1152x720