gradientdescent

gradientdescent梯度下降
图片尺寸2244x1700
machine learning training method: gradient descent method
图片尺寸703x366
gradientdescent
图片尺寸653x551
学习记录gradientdescent
图片尺寸1920x1080
reviewgradientdescent
图片尺寸1055x723
机器学习李宏毅四gradientdescent
图片尺寸1000x750
梯度下降法 gradient descent
图片尺寸1059x471
【4周达】gradient descent, stochastic optimization, and other
图片尺寸800x800
机器学习李宏毅四gradientdescent
图片尺寸2000x1500
梯度下降算法原理神经网络gradientdescent
图片尺寸885x627
梯度下降gradientdescent
图片尺寸1429x802
李宏毅机器学习笔记2gradientdescent附带详细的原理推导过程
图片尺寸559x375
应用于线性回归的的梯度下降算法gradientdescentforlinearregression
图片尺寸1215x764
梯度下降gradientdescent
图片尺寸654x362
应用于线性回归的的梯度下降算法gradientdescentforlinearregression
图片尺寸1307x621
多变量的梯度下降gradientdescentformultiplevariables
图片尺寸1430x786
梯度下降gradientdescent数学原理分析与实例
图片尺寸1376x696
gradientdescent
图片尺寸690x417
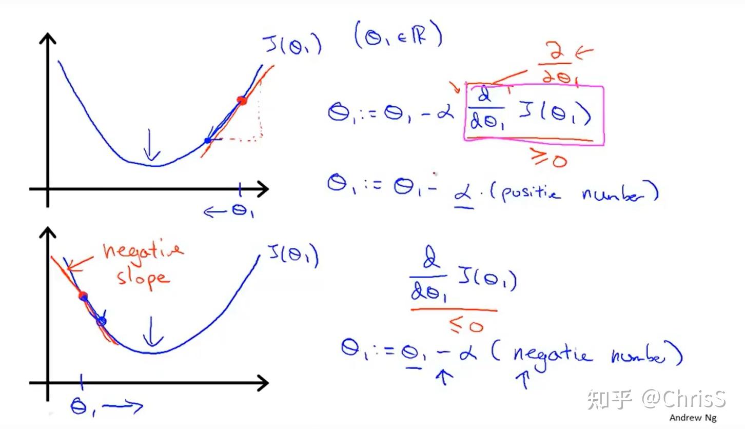
吴恩达机器学习笔记gradientdescent梯度下降法
图片尺寸1452x836
gradient descent
图片尺寸665x371