graphpad三组柱状图

graphpad柱状图带折线
图片尺寸1554x971
4-9-分组堆叠柱状图
图片尺寸1728x1080
【免费直播课】sci大神在线:graphpad prism快速作图技巧_腾讯新闻
图片尺寸1000x483
柱状图-graphpadprism
图片尺寸6312x3945
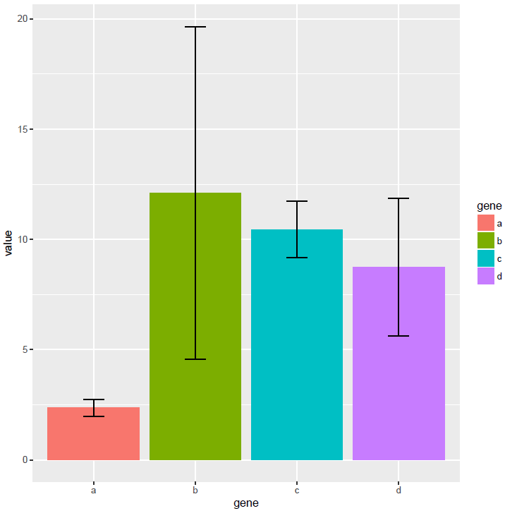
r统计绘图柱状图
图片尺寸716x724
toucao 03-09 13:49 关注 graphpad中生成柱状图正常
图片尺寸3000x2250
如何5分钟内同时画出nature中的差异折线图差异柱状图组合图从原理到
图片尺寸1078x544
origin类别图多因子组柱状图分组柱状图
图片尺寸8857x4012
graphpad prism绘制纵轴中断柱状图
图片尺寸2993x1870
【医学生必学】graphpad prism绘制柱形图
图片尺寸1123x702
用graphpad prism 5 作柱状图,如何修改x轴 2018-03-06 12:00 关注
图片尺寸410x311
graphpad绘图手册|柱状图|双y轴|y轴|显著性差异分析abcd字母标记
图片尺寸546x598
如何使用graphpad做多组柱状图
图片尺寸528x354
用graphpad作柱状图,求帮助
图片尺寸481x294
如何制作堆积柱状图graphpad
图片尺寸1431x893
matlab 三维柱状图 - csdn
图片尺寸4724x3150
组内和组间显著性标记柱状图
图片尺寸1058x855
用graphpad作柱状图,求帮助
图片尺寸536x366
柱状图正负轴graphpadprism9绘图第二期graphpadprism9绘制普通柱状图
图片尺寸436x300
ppt教程 | 如何处理ppt中的小婊砸
图片尺寸1600x900