hatu结构式

海葵素海洋工程与技术
图片尺寸2026x1186
hatu的结构你真的知道吗脲盐型还是胍盐型缩合机理是怎样的
图片尺寸1080x489
由于它的分子结构太过复杂,科学家花了整整11年的时间才揭开了它的
图片尺寸1280x805
hatu作为缩合剂的酰胺化反应中的副产物
图片尺寸560x372
采购结构式搜索展会求购企业字典产品产品结构式搜索委托采购最近搜索
图片尺寸300x300
hatu作为缩合剂的酰胺化反应中的副产物
图片尺寸1080x355
2-(7-偶氮苯并三氮唑)-n,n,n,n-四甲基脲六氟磷酸酯(hatu)
图片尺寸418x250
复习: 烃的衍生物 结构式 乙醇 乙醛 官能团 羟基 醛基 羧基 乙酸
图片尺寸1080x810
p>hatu,是一种常用的 a href="#" data-lemmaid="1511295">多肽 /a>
图片尺寸1678x1080
二元取代芳香化合物h是g()的同分异构体,h满足下
图片尺寸357x388
乙醇的结构 分子式 c2h6o 结构式 h h h—c—c—o—h h h 结构简式
图片尺寸1080x810
维生素b2的化学结构
图片尺寸1080x810
结构式:本厂优秀产品.400~6000.5max.1.1891.48859039.
图片尺寸865x440
hatu的结构你真的知道吗脲盐型还是胍盐型缩合机理是怎样的
图片尺寸1080x419
22112-79-4结构式
图片尺寸899x792
第一节 单糖的立体化学 单糖结构的表示方法: haworth式: fischer
图片尺寸1080x810
(c52-55-半缩醛)海葵毒素结构式
图片尺寸854x533
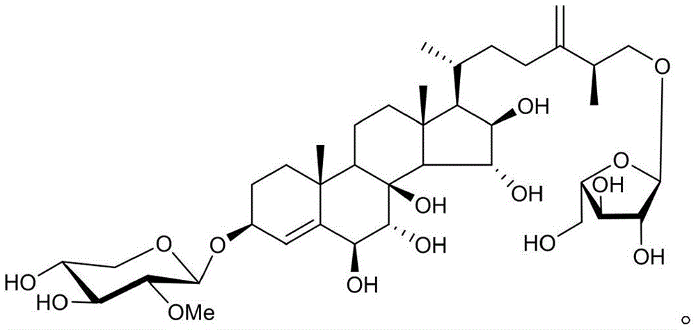
物及用途,该多羟基甾体皂苷类化合物分子式为c39h64o15,化学结构式为
图片尺寸1000x474
一种基于奥沙利铂的新型ptⅣ配合物及其制备方法和用途
图片尺寸1929x720
hatu等酸胺缩合试剂副产物和中间态结构和ms分析
图片尺寸460x440