homograph

homograph: list of 150 homographs from a-z with examples 同形词
图片尺寸1200x628
单应性homograph估计从传统算法到深度学习
图片尺寸512x683
全景拼接学习-原理篇 (2) 两张图片之间关系计算 单应性homograph估计
图片尺寸600x221
单应性homograph估计从传统算法到深度学习
图片尺寸670x672
homograph
图片尺寸267x189
单应性homograph估计从传统算法到深度学习
图片尺寸670x602
全景拼接学习-原理篇 (2) 两张图片之间关系计算 单应性homograph估计
图片尺寸344x314
单应性homograph估计从传统算法到深度学习
图片尺寸600x286
properly pronounce!
图片尺寸512x576
单应性homograph估计从传统算法到深度学习
图片尺寸1080x691
单应性homograph估计从传统算法到深度学习
图片尺寸836x335
单应性homograph估计从传统算法到深度学习
图片尺寸1080x1124
单应性homograph估计从传统算法到深度学习
图片尺寸1440x540
homograph
图片尺寸400x294
全景拼接学习-原理篇 (2) 两张图片之间关系计算 单应性homograph估计
图片尺寸469x226
sift算法单应性homograph估计从传统算法到深度学习
图片尺寸842x316
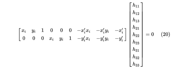
单应性homograph估计从传统算法到深度学习
图片尺寸2392x684
漂亮的艺术古董无与伦比的 phomograph 扬声器乙烯基纯库珀小号记录
图片尺寸1000x1338
单应性homograph估计从传统算法到深度学习
图片尺寸1080x709
单应性homograph估计从传统算法到深度学习
图片尺寸837x175