inulin

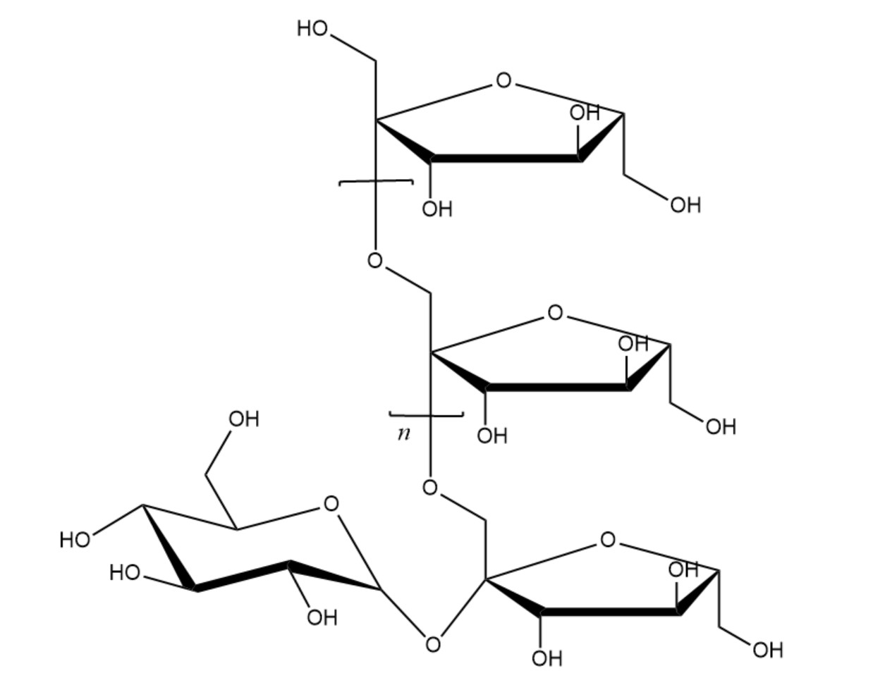
菊粉( inulin) 属于线型菊糖型果聚糖,作为一种天然的功能性多糖,具有
图片尺寸548x546
【京健康】美国inulin菊粉纯粉227克益生元益生菌膳食纤
图片尺寸800x800
high quality and low price chicory inulin, inulin powder, bulk
图片尺寸1000x976
促进胃消化,改善肠动力,inulin菊粉的功效和作用
图片尺寸761x766
雁塔区累计成交量:0发票税率:17%产品名称:菊粉英文名称:inulin提取
图片尺寸308x309
inulin
图片尺寸1238x989
gmp natural high quality inulin
图片尺寸800x665
inulinu菊木素酮糖和果酱玻璃瓶装罐头品牌包装设计
图片尺寸1160x773
试剂 其他高端试剂 其它试剂 菊粉 ga60011国华 97%, 英文名称:inulin
图片尺寸300x271
华丽的inulinu果酱系列包装
图片尺寸650x419
华丽的inulinu果酱系列包装
图片尺寸650x413
药房直售健养时佳菊粉 inulin可溶性膳食纤维固体饮料 1盒装
图片尺寸800x800
07589f7404eb8e32.jpg
图片尺寸790x790
美国fiber纤维粉菊粉inulin可溶性纤维益生元控糖代餐肠胃消化 餐肠胃
图片尺寸797x710
free sample for chicory root extract inulin powder for
图片尺寸733x730
best-price organicway food grade inulin, organic inulin powder
图片尺寸635x362![inulinu菊木素酮糖和果酱玻璃瓶装罐头品牌包装设计 [11p]](https://i.ecywang.com/upload/1/img1.baidu.com/it/u=3232603594,3133968009&fm=253&fmt=auto&app=138&f=JPEG?w=500&h=333)
inulinu菊木素酮糖和果酱玻璃瓶装罐头品牌包装设计 [11p]
图片尺寸1400x933
可溶性膳食纤维粉菊粉 inulin可溶性膳食纤维固体饮料 速溶水溶性益生
图片尺寸800x800
华丽的inulinu果酱系列包装欣赏
图片尺寸650x410![inulinu菊木素酮糖和果酱玻璃瓶装罐头品牌包装设计 [11p]](https://i.ecywang.com/upload/1/img1.baidu.com/it/u=931709583,3523853117&fm=253&fmt=auto&app=138&f=JPEG?w=750&h=500)
inulinu菊木素酮糖和果酱玻璃瓶装罐头品牌包装设计 [11p]
图片尺寸1400x933