ln(a b)
![我啥我算出来是ln[b/(a b)],答案是ln[(a b)/b],在线等,急](https://i.ecywang.com/upload/1/img1.baidu.com/it/u=1699588690,874252330&fm=253&fmt=auto&app=138&f=JPEG?w=360&h=510)
我啥我算出来是ln[b/(a b)],答案是ln[(a b)/b],在线等,急
图片尺寸360x510
ln(ax b)的n阶导数公式
图片尺寸750x1000
高中数学 2-2-2-1 对数函数及其性质能力强化提升 新人教a版必修1
图片尺寸826x693
(log ) x ln 10 x b .(log a ) x x c .
图片尺寸1080x810
数函数的是 a y=log2(3x-2) b y=log(x-1)x c y=log1/3 d y=lnx 2
图片尺寸1080x810
其实记住这个公式,就不用这么为难了 loga(b)=lnb/lna log9
图片尺寸595x323
ln函数里面的乘法写成加法形式,然后指数变分子.
图片尺寸624x832
3对数与对数函数 (通用版) 1 第三节 对数与对数函数 一,选择题 a .
图片尺寸343x327
两公司预计融资一千万,五年: 固定 0回答 已知x=a,y=b;x=c,y=d都是
图片尺寸338x194![(1,2) 【答案】d 【解析】a {x 3 2x 1 3} [ 1,2],b (1, ) a b (1,2]](https://i.ecywang.com/upload/1/img2.baidu.com/it/u=3149856661,2506162275&fm=253&fmt=auto&app=138&f=PNG?w=500&h=234)
(1,2) 【答案】d 【解析】a {x 3 2x 1 3} [ 1,2],b (1, ) a b (1,2]
图片尺寸532x249
后面是ln(a/b)=lna-lnb 本回答由提问者推荐 抢首赞 已赞过 已踩过
图片尺寸3120x4208
二 导数的应用 函数ln x y x = 的图像大致是
图片尺寸1268x286
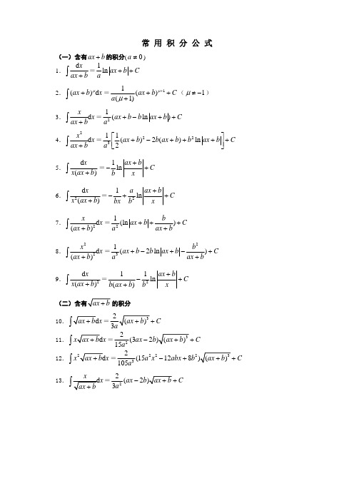
ax b = a ln ax b c ∫μ dx 1 2. ( ax b) dx = 1 ( a
图片尺寸496x702
718282,自然对数:ln(b)=logeb(e为底数)1, 常用对数:lg(b)=log10b(10
图片尺寸791x710
3. 2.1 1.函数y =|cos x |的周期为( ) a .2π b .π c.π2 d.
图片尺寸1110x553
ln,表示自然对数,他以e为底lga-lgb=lg(a/b)lga lgb=lg(a*b)下面列
图片尺寸424x347
最佳答案 令t=1/n换元后使用等价无穷小替换即可,极限等于ln(a*b)
图片尺寸873x825
函数f(x)=lnx612x的零点所在的大致区间是( )a.(1,2)b.(2,3)c.
图片尺寸1548x1589
函数y =x a 与y =log x 的图象只可能是( .
图片尺寸441x399
已知函数f(x)=|2^x-1|,a b c,且f(a)>f(c)>f(b),则.
图片尺寸664x487