loft复式公寓价位

石景山loft现房公寓总价200万起
图片尺寸1080x1439
太原loft公寓装修需要多少钱loft公寓装修费用
图片尺寸607x820
北京公寓|总价170w的loft复式楼下商业成熟
图片尺寸1080x1439
昆明万达文化旅游城住宅,loft公寓周末特惠 loft公寓总价约51-74万/套
图片尺寸800x626
80万就卖北京loft现房复式公寓
图片尺寸1080x1440
全款20w拿下这套35平方的loft复式公寓
图片尺寸1080x1391
北滘loft复式公寓
图片尺寸1080x1439
南京公寓‖复式loft公寓99现房交付
图片尺寸1080x1440
复式公寓丨这是女生都喜欢的loft叭~今日推荐一套总价18万 - 抖音
图片尺寸1280x1703
南宁loft复式公寓月供1400
图片尺寸1080x1440
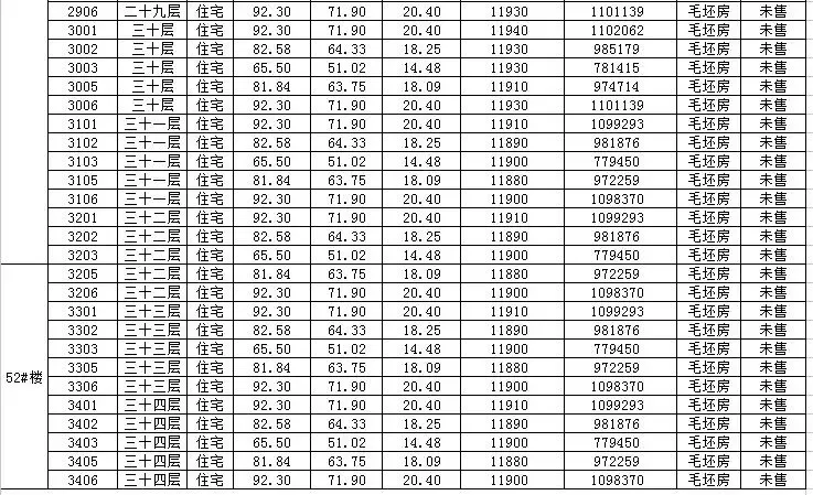
中海寰宇天下45#,正祥林语墅53#57#复式明码标价表
图片尺寸737x449
天河燕塘地铁口,loft 复式公寓,力达广场
图片尺寸1080x1440
loft复式公寓装修非常好51平两房两厅一卫
图片尺寸1000x750
深圳湾睿印,瑧湾汇,复式公寓,高层.瑧湾汇74平loft复式 - 抖音
图片尺寸960x1280
融创臻园复式loft一室公寓地铁口精装修
图片尺寸1080x810
九选一loft复式公寓装修效果图
图片尺寸1025x743
loft复式公寓 上 - 抖音
图片尺寸1707x1280
清远万达广场附近loft复式公寓只需1300月
图片尺寸1080x1439
广州loft复式公寓|首付10w,安家广州
图片尺寸1079x1427
南京loft公寓→温馨小窝 全款40万安家南京75
图片尺寸1080x810