methylating

阿托伐他汀钙片(立普妥)
图片尺寸750x400
辛伐他汀片
图片尺寸720x450
18molecular formula:c61h6968oscas:17287-03-5trimethyl
图片尺寸600x600
(1)temozolomide, dna alkylating/methylating chemotherapeutic
图片尺寸280x230
methylation
图片尺寸1032x506
methylating the lactam nitrogen of compound xiii to afford
图片尺寸758x456
scopeabstract:wepresent a highly efficient method for cyanating
图片尺寸706x749
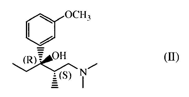
a) acylating (2 s,3 r)-1-(dimethylamino)-3-(3-methoxyphenyl)-2
图片尺寸780x402
b) o-methylating the compound of formula ix to produce
图片尺寸839x472
d) methylating the compound of formula vi to afford compound
图片尺寸992x474
a) o-methylating the compound of formula iii
图片尺寸602x425
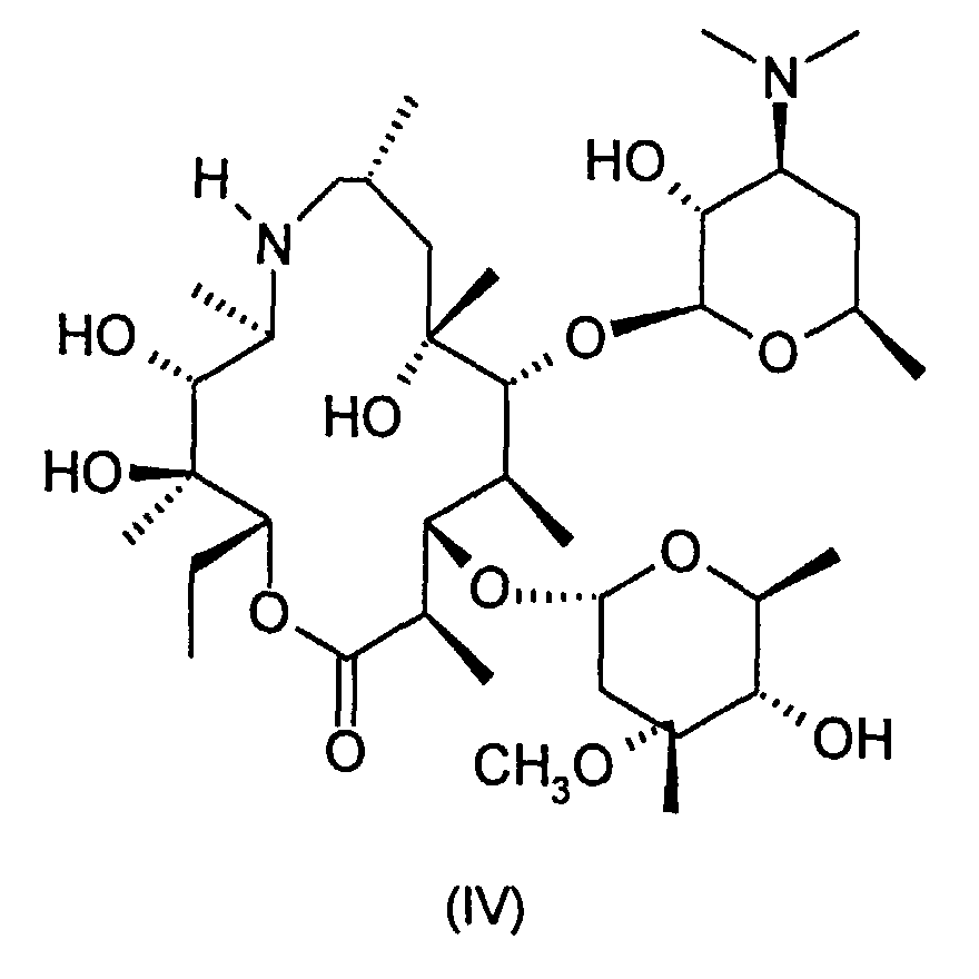
and thereafter n-methylating the said compound of formula iv.
图片尺寸896x651
boc sciences
图片尺寸598x598
a process for methylating the ortho position of a phenol
图片尺寸451x467
bbr3 – boron tribromide
图片尺寸400x360
and thereafter n-methylating the said compound of formula iv.
图片尺寸880x880
scopeabstract:wepresent a highly efficient method for cyanating
图片尺寸709x516
inhibiting the 14-alpha demethylase enzyme from demethylating aa
图片尺寸300x300
methylating compound of formula with dimethylcarbonate
图片尺寸672x400
combinations of tyrosine, methylating agents, phospholipids
图片尺寸1317x2669