mf52热敏电阻参数

全系列热敏电阻环氧珠状 mf52-ntc
图片尺寸750x1035
热敏电阻阻值表
图片尺寸920x1302
热敏电阻阻值对照表_50k3950±1%(250度)
图片尺寸1222x1725
现货ntc 热敏电阻 mf52e-3 100k 104 5% 3950k 小黑头 一包500pcs
图片尺寸574x798
ntc热敏电阻小黑头珠状测温型mf52
图片尺寸1092x1384
热敏电阻温度阻值对照表10k53435
图片尺寸800x1132
【精品】 0805 103j 热敏电阻 贴片热敏电阻批发
图片尺寸1182x735
mf52热敏电阻ntc 502f 103f 153 203 473 503 104 504f 1% 3950k
图片尺寸800x800
5d系列压敏电阻
图片尺寸800x1189
常用光敏电阻参数表
图片尺寸679x1037
小黑头热敏电阻mf52 100k热敏电阻
图片尺寸1011x494
安培龙ptc热敏电阻器mz1系列-用于通讯线路过载保护用
图片尺寸515x708
兴勤热敏电阻sck152r58miy sck152r58mby009
图片尺寸1191x853
热敏电阻ntc锂电池保护用pvc小皮线10k 3950 3435 103f103j1% 5%
图片尺寸800x1228
mf52系列ntc热敏电阻技术要求
图片尺寸672x258
温度传感器ntc热敏电阻5k 15k 20k 50k 100k 10k b值3950 b值3435 5k
图片尺寸925x1696
热敏电阻温度阻值表
图片尺寸920x1302
热敏电阻mf52at 10k 100k 1%精度 b值:3950 线长6cm /8cm /10cm
图片尺寸800x800
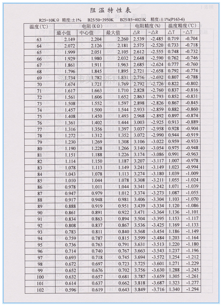
常用规格热敏电阻的阻温特性表
图片尺寸732x1040
热敏电阻ntc mf52a103f3950 10k b值3950k 1%精度
图片尺寸700x700