multinomial

beta分布转
图片尺寸798x292
p data-id="gnx9b6307k">多项式分布(multinomial distribution)是 a
图片尺寸559x423
dirichletmultinomial共轭
图片尺寸600x480
历史上的今天10月30日英特尔最大失误图像冒险游戏的
图片尺寸700x700
dirichletmultinomial共轭
图片尺寸650x529
houston enzymes no-fenol多种消化酶复合胶囊(90粒)
图片尺寸1000x1000
预订multinomial distribution based model for control
图片尺寸267x400
2. 多分类逻辑回归 (multinomial logistic regression)
图片尺寸655x341
事件模型multivariatebernoullieventmodelandmultinomialeventmodel
图片尺寸1065x621
第一步,在指定单元格中输入multinomial函数;在输入函数过程中,excel
图片尺寸535x265
无序多分类logistic回归multinomiallogisticregression
图片尺寸840x480
bayesmultinomialsanddirichletdistribution
图片尺寸531x425
multinomial函数
图片尺寸672x234
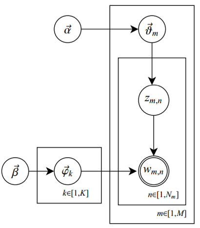
采用词袋模型,m篇文档会对应m个独立dirichlet-multinomial共轭结构;k
图片尺寸410x467
excel multinomial 函数 使用实例教程
图片尺寸335x250
这样的离散的正整数,因此,sklearn中的多项式朴素贝叶斯(multinomial
图片尺寸640x480
亚博买球
图片尺寸800x1066
首先有一个multinomial distribution,先决定sample 其中
图片尺寸831x627
5盎司(300克)
图片尺寸1600x1600
【google deepmind重磅突破:ai控制托卡马克等离子体精
图片尺寸2560x1280