n-甲基苯胺结构式

n-甲基苯胺结构式
图片尺寸283x227
n-甲基苯胺结构式
图片尺寸605x375
n-甲基苯胺丨100-61-8
图片尺寸491x432![图片 n-甲基苯胺,n-methylaniline [nma];≥99%](https://i.ecywang.com/upload/1/img2.baidu.com/it/u=314654577,4116867683&fm=253&fmt=auto&app=138&f=JPEG?w=550&h=361)
图片 n-甲基苯胺,n-methylaniline [nma];≥99%
图片尺寸550x361
n甲基n甲基苯甲酰胺
图片尺寸559x427
n-甲基甲酰苯胺
图片尺寸201x220
n-甲基苯胺 98%
图片尺寸145x180
n-甲基对甲苯胺结构式
图片尺寸255x227
n-甲基-n-氰乙基苯胺
图片尺寸600x600
2-甲基-n-甲基苯胺结构式图片|611-21-2结构式图片
图片尺寸605x375
n,n-二甲基苯胺盐酸盐结构式_5882-44-0结构式
图片尺寸400x400
p>2,4,6-三甲基-n-甲基苯胺是一种化学物质,分子式是c10h15n. /p>
图片尺寸242x137
n,n-二甲基苯胺的胺是伯胺还是仲胺,为什么?
图片尺寸435x376![n-[(二苯基氧膦基)甲基]-n-甲基苯胺结构式图片|76527-75-8结构式图片](https://i.ecywang.com/upload/1/img2.baidu.com/it/u=1547087692,2583414263&fm=253&fmt=auto&app=138&f=JPEG?w=605&h=375)
n-[(二苯基氧膦基)甲基]-n-甲基苯胺结构式图片|76527-75-8结构式图片
图片尺寸605x375
nn二乙基苯甲酰胺
图片尺寸400x400
n,n-二甲基间甲苯胺结构式
图片尺寸283x227
n-乙基间甲苯胺结构式
图片尺寸283x227
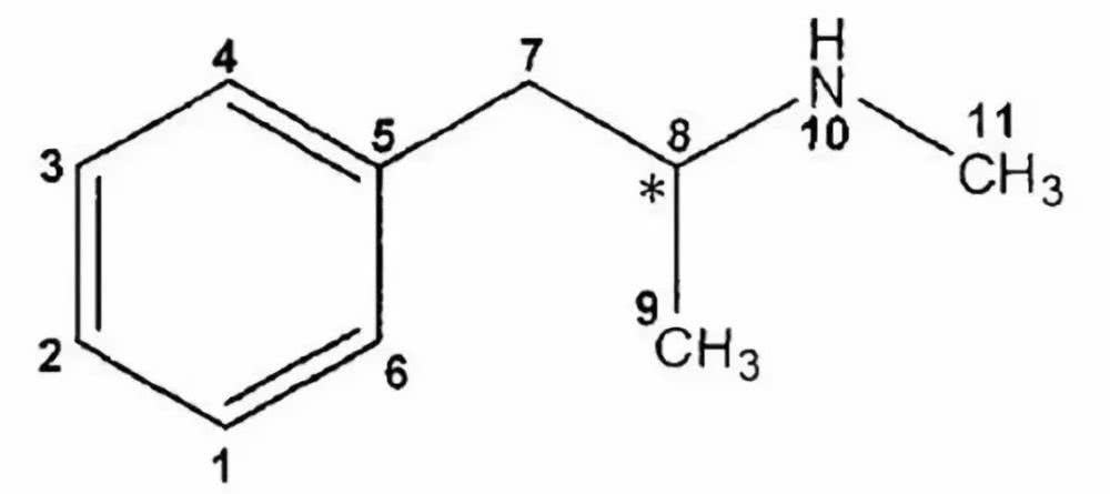
甲基苯丙胺的化学式.
图片尺寸1000x445
611-21-2结构式
图片尺寸400x400
3-氨基-n-甲基苯甲酰胺
图片尺寸943x509