object

1,object
图片尺寸450x468
object
图片尺寸675x477
new object() 和 {} 的区别是什么?
图片尺寸1920x1080
【前端每日一讲】扩展运算符与object.assign()的区别?
图片尺寸2250x1266
object class:euclid 也请不要试图惹怒一个 - 抖音
图片尺寸1204x1080
object类型用法相关文章推荐
图片尺寸819x819
【godot节点一分钟】#05 collisionobject碰撞节点
图片尺寸1920x1080
object, not the object
图片尺寸500x500
分布式对象存储(object storage)
图片尺寸846x469
2.tobject类声明翻译为c
图片尺寸1440x1080
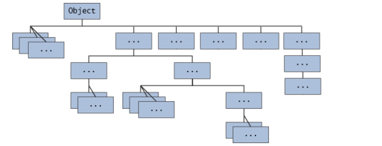
java基础教程之object类,object类干货详解
图片尺寸1310x502![[object object]](https://i.ecywang.com/upload/1/img2.baidu.com/it/u=266989197,2379025232&fm=253&fmt=auto&app=138&f=GIF?w=434&h=329)
[object object]
图片尺寸434x329
object oriented comments
图片尺寸981x981
软件测试学习笔记丨pageobject 设计模式
图片尺寸1200x2612
object2vr mac版(全景视频制作) v3.1.5 破解版
图片尺寸512x512
object zh 1 "黑匣"the backrooms即将崩溃!fandom后室中文
图片尺寸1920x1080
java基础教程之object类,object类干货详解
图片尺寸750x408
object-c 和 swift 语言
图片尺寸866x534
3dobjectmaker
图片尺寸512x512
java基础教程之object类,object类干货详解
图片尺寸1220x768