olefins

florihana 30ml 唤醒精华油 小绿瓶
图片尺寸1080x1080
catalyst for the production of light olefins
图片尺寸2320x3408
tyneppolefinsw5223上海浜禧原包现货doc2页
图片尺寸480x589
材料人报告丨五年内国内常发nature,science的团队,要
图片尺寸600x620
奥丽颜凡士林润肤霜(橄榄)
图片尺寸1100x1100
process for polymerizing olefins
图片尺寸448x225
direct epoxidation of olefins catalyzed by
图片尺寸1497x802
费托合成的机理
图片尺寸1288x589
预订 isospecific polymerization of olefins
图片尺寸350x499
pp以色列carmelolefins聚丙烯
图片尺寸750x750
预订 isospecific polymerization of olefins 9781461295563
图片尺寸500x500
jennifer lopez 星钻 still 故我女士香水 淡香精 100ml
图片尺寸1025x1500
pharmaceutical grade oil
图片尺寸624x392
马丁课题组在合成气直接制备低碳烯烃方面取得新进展
图片尺寸1200x1200
polymax03 850 - higher olefins
图片尺寸1920x1280
五一踏春大作战,全场满58欧免邮(限重3kg),满78欧还可以再减5欧
图片尺寸438x438
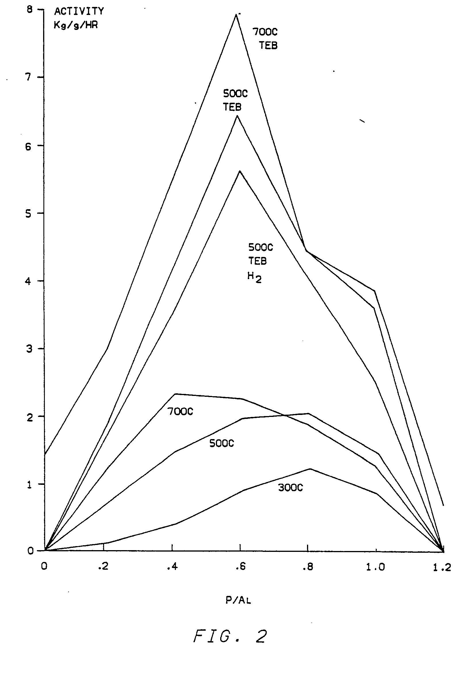
catalyst, method for making and use of same for
图片尺寸1642x2339
direct epoxidation of olefins catalyzed by
图片尺寸795x828
销售管材级eaa 美国陶氏 5986 挤出级工程塑料
图片尺寸790x689
0,一款自带鼻腔按摩开关的烟草_哔哩哔哩 (゜-゜)つロ
图片尺寸1726x1080