pcr柱状图

荧光定量pcr是用来干什么的
图片尺寸2656x3681
knockdown of lncrna-xist enhances the chemosensiti
图片尺寸2031x959
荧光实时定量pcr>
图片尺寸500x307
您好,我想问一下实时荧光定量pcr的数据分析!
图片尺寸492x323
qrt-pcr analysis of the gene expression levels of  aox1a gene
图片尺寸1772x1267
研究思路高通量qpcr芯片检测案例解读
图片尺寸720x674
图 3         转基因株系内源 bpccr1基因qrt-pcr分析
图片尺寸3150x1451
简述相对定量法分析qrtpcr数据
图片尺寸1884x1308
mrna/lncrna荧光定量pcr
图片尺寸1098x483
鳜鱼转录组测序qpcr验证柱状图
图片尺寸551x667
实验数据完成了,如何绘制为柱状图 - qpcr数据怎么看 - 实验室设备网
图片尺寸709x403
【新品开售】 双槽荧光定量pcr仪q1600简介
图片尺寸1090x679
科研动态猪圆环病毒2型和3型双重荧光pcr检测方法建立及应用
图片尺寸1000x588
to detect micrornas using chip-based quantstudio 3d digital pcr
图片尺寸473x589
捷报频传鸡的环状rna研究成果问世
图片尺寸1842x1374
qrtpcr实验标准化流程
图片尺寸617x284
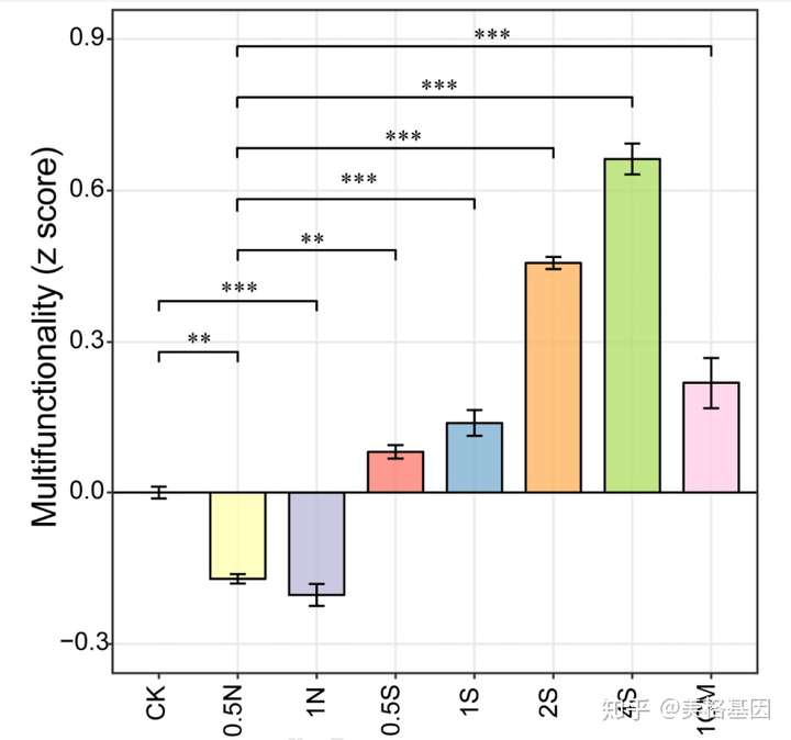
图6:荧光定量pcr和dna甲基化检测分析总 结本文结合菌群多样性组成谱
图片尺寸998x1357
基于taqman探针的慢性肾脏病相关基因检测荧光定量pcr一步法试剂盒
图片尺寸1000x857
科普实时荧光定量pcr
图片尺寸1112x453
of mir-18a and mirqpcr柱状图qpcr柱状图qpcr柱状图relative
图片尺寸709x522