ph3电子式和结构式

sih4,ph3,hcl的稳定性逐渐增强c.氧化铁的化学式:feo
图片尺寸595x842
1080_931
图片尺寸1080x931
4-二甲基苯基)磷化氢-5,5 ,5 -三磺酸三钠盐,97%,443150-11-6,结构式
图片尺寸200x154
高考复习资料 "18"电子 电子 ar hcl h2s 分子: 分子: ph3 sih4 f2等
图片尺寸1080x810
磷化氢,化学式为ph3,是一种无色有味的气体,它的气味与大蒜味或者鱼
图片尺寸558x346
含有相同电子总数的粒子 含有10个电子的粒子有: 1,分子:hf,h2o,nh3
图片尺寸1080x810
磷化氢ph3——图片来自百度百科
图片尺寸640x585
5504_ 图片_百度百科
图片尺寸155x122
磷化氢(凝聚态物理学)磷化氢,又名膦,分子式:ph3,一种无色气体,极毒
图片尺寸399x381
ph3snsc6h4-4-no2*dmso结构式
图片尺寸385x251
h 一般为 1,ph3; 在nah中为- 1.
图片尺寸1080x810
磷脂的结构简式为dph3中,p-h键的键长大于n-h键的键长,其键角小于bf3
图片尺寸1102x336
p3hb,phv及其共聚物phbv的化学结构
图片尺寸400x199
709_320
图片尺寸709x320
词条图片 3/6乙炔分子模型信息图片尺寸159x241 来自
图片尺寸159x241
名为tris(4-fluorophenyl)phosphine,分子式为c9h11no2,cas号为1843
图片尺寸144x141
臭鸡蛋气味:h2s 特殊臭味:o3 ,电石生产的乙炔(含ph3
图片尺寸428x284
reagents and conditions: i, ph3pchco2et, phme, reflux, 4 h; ii
图片尺寸774x398
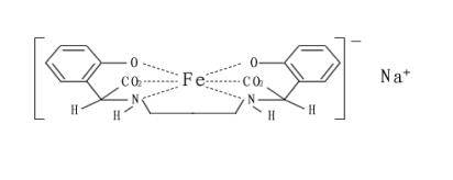
结构式:分子式:c18h16n2o6fena 分子量:435.
图片尺寸412x164
化学结构式如下.
图片尺寸608x250