phasor diagram

phasor diagram and power curve
图片尺寸920x821
将微积分方程变代数方程的phasor变换
图片尺寸219x432
a three-phase phasor diagram.
图片尺寸414x288
representation of ac current and voltage by phasor diagram
图片尺寸531x274
phasor diagram for load condition of synchronized generator
图片尺寸1086x838
figure phasor diagram.
图片尺寸438x244
an introduction to using phasor diagrams on oscilloscopes for 3
图片尺寸601x535
电路中的相量phasor是向量vector吗
图片尺寸219x432
parallel rlc circuit phasor diagram
图片尺寸492x303
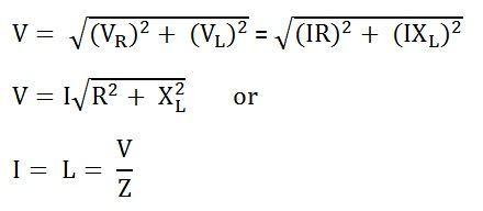
phasor diagram of the rl series circuit
图片尺寸440x192
single-line diagram of an svc and its control system block
图片尺寸455x152
single-line diagram of upfc and phasor diagram of voltages and
图片尺寸454x317
相量图(phasor diagram)类似于绘制变压器相量图的方法假设电动机的
图片尺寸506x219
phasor diagram for the case of multiple
图片尺寸394x340
光影穿越细胞世界:flim 类器官技术引领药物发现与疾病
图片尺寸1328x297
figure hif detection diagram.
图片尺寸720x840
大功率强迫换相电流注入多级变换器新拓扑
图片尺寸401x406
phasor diagram and waveforms show 3-phase voltage and current
图片尺寸508x285
哈工大电路分析课件 39-40学时ppt
图片尺寸1080x810
vector diagram of the cvctps system operation
图片尺寸584x273