pinhe遥控器对码图

f2410d10s遥控器起重机行车遥控器工业无线遥控器禹鼎双速双梁全套f2
图片尺寸800x800
pinhe长远433学习码电动车库卷帘卷闸门管状遥控器1527对码遥控器
图片尺寸800x800
f24-12d/12s遥控器 起重机行车遥控器工业无线遥控器双速
图片尺寸800x781
禹鼎原装无线工业遥控器f24-8d 电动葫芦行车天车起重机遥控brangdy
图片尺寸750x838
工业无线遥控器 a211/ac36v 九键 行车遥控器 台湾邱比特 禹鼎图片
图片尺寸876x1024
原装正品长远200遥控器长风 学习码遥控器 pinhe车库门遥控器
图片尺寸750x750
家用f21-e1无线遥控器起重机天车葫芦遥控器18v 65v 440v 220v
图片尺寸750x1704
电动智能遥控晾衣架常见遥控器对码方法#电动晾衣架 #智能晾衣 - 抖音
图片尺寸1080x1440
使用51单片机模拟红外线遥控器的按键发射的红外线
图片尺寸301x546
禹鼎电子f24-8d/8s工业遥控器 双速起重机行车行吊天车无线遥控器
图片尺寸790x580
长远pinhe卷帘门控制器车库门卷闸门接收器电动门管状电机遥控器
图片尺寸960x960
明基i300t 遥控器对码
图片尺寸1084x873
200遥控器长风 学习码遥控器 pinhe车库门遥控器 pinhe/长远200专用
图片尺寸800x800
pinhe电动门遥控器二个一组
图片尺寸800x800
荧阙原厂长远200遥控器长风学习码遥控器pinhe电动门车库门遥控器
图片尺寸800x800
长风自动门车库门遥控器 风行660电机 钥匙 pinhe翻板门遥控 滚码
图片尺寸800x800
厂家直销起重机遥控器 f24-12d工业无线遥控器
图片尺寸1000x1012
正品禹鼎遥控器工业无线遥控器,行车遥控器天车遥控器f-23a (s)
图片尺寸750x688
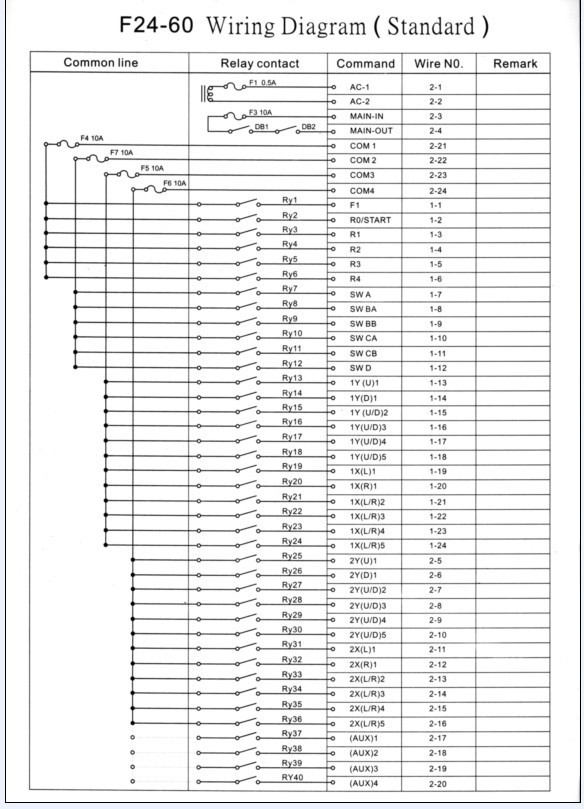
禹鼎遥控器f24-60 五档调速 直接替换联动台
图片尺寸584x809
pinhe老款控制器 2遥控 电源线
图片尺寸800x800