r=acosθ图像

上次理工男撩妹给的函数曲线r=1-cosθ仔细看看不像,道有些像.
图片尺寸1080x1920
python绘制基本初等函数图像
图片尺寸400x400
画图:r=a(1-sinθ).
图片尺寸491x388
ρ=5*sin(3*θ)图像是怎样的?_作业帮
图片尺寸400x400
r=1/sinθ图像怎么画啊?有人说是一条直线但是吧π扣出去.
图片尺寸3481x3006
笛卡尔心形函数 桃心公式:r=a(1-sinθ).
图片尺寸2103x1280
求心形线r=a(1 cosθ)的全长,有图更好啦,心形线实在不大能理解,_百度
图片尺寸450x800
23方陈式出自笛卡尔之手:r=a(1-sinθ)
图片尺寸398x332
我们可以假设周期一定那么θ=ωtr=a(1-cosωt)p点速度沿y轴负方向
图片尺寸959x885
求r=asin2θ的面积,求详细步骤
图片尺寸1350x434
r=a(1 cosθ)图像怎么画?
图片尺寸830x958
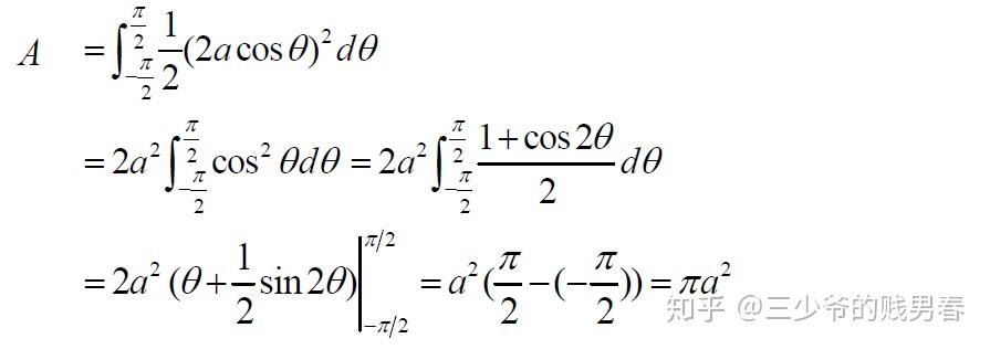
极坐标方程为r=2acos67θ.
图片尺寸895x316
球面坐标 → 笛卡尔坐标x = r sinθcosφy = r sinθsinφz = r cos
图片尺寸500x400
求手绘 r = (1-sinθ),,数学,表白要用,求高手!
图片尺寸450x338
系统化,轻快学习高中数学三角函数的图像,性质及其变换必备知识
图片尺寸637x458
角速度 r o θ θ x 1
图片尺寸1080x810
求手绘 r = (1-sinθ),,数学,表白要用,求高手!
图片尺寸3120x4208
极半径的上限为何是2cosθ
图片尺寸568x568
ra1sinθ这是七夕浦东函数浪漫至极
图片尺寸1080x349
求曲线r=√3a,r=2acosΘ所围成图形的公共部分面积
图片尺寸767x483