r语言柱状图

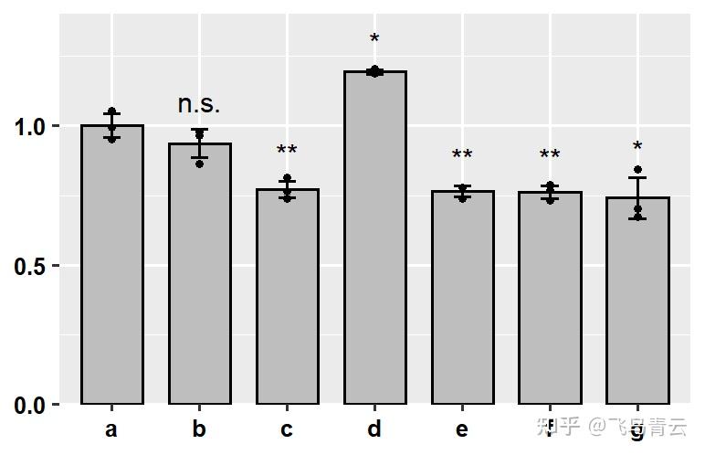
r语言学习笔记--ggplot2一步到位绘制误差线及p-value(或显著性标记)
图片尺寸660x460
【r语言】--- 分组柱状图
图片尺寸1200x900
ggplot2分面柱状图柱子比例一致_r语言柱状图
图片尺寸1080x726
r语言【ggplot】手把手教你复现sci论文柱状图(上)-元宵不贰君-博士好
图片尺寸1875x1172
【r语言】--- 分组柱状图
图片尺寸1042x549
r语言绘制带有显著性字母标记的柱状图
图片尺寸1080x771
r语言ggplot2绘图柱状图
图片尺寸610x421
基于r 语言绘制柱状图教程整理.md
图片尺寸1166x906
r语言:一文搞定ggplot柱形图
图片尺寸535x548
r语言ggplot2误差棒图快速指南
图片尺寸1530x840
r语言绘图从入门到精通06柱状图美化之分组修改
图片尺寸1594x1554
r语言ggplot2绘图柱状图
图片尺寸500x483
r语言绘制带聚类树的堆叠柱形图
图片尺寸883x447
r语言之用ggplot2作进阶柱状图
图片尺寸1200x900
r语言ggplot2绘制柱状图后如何在柱上加上散点? - 知乎
图片尺寸772x498
r语言绘图从入门到精通05--柱状图
图片尺寸1180x820
跟着nature学作图r语言ggplot2簇状柱形图完整示例
图片尺寸657x1103
跟着environmental research学作图:r语言ggplot2堆积柱形图叠加折线
图片尺寸1080x742
r语言作图柱状图代码讲解干货
图片尺寸1080x1080
如何用r语言画堆积柱形图以及时间格式数据做坐标轴的操作
图片尺寸1050x1008