raptor1加到100流程图

如何用raptor求100以内奇数和
图片尺寸391x662
该题流程图:第六步:写出该题的程序,并执行该程序,最后在输出.
图片尺寸510x992
编程序,实现:1 2 3 …… 100,要求:画流程图,写完整程序.
图片尺寸393x517
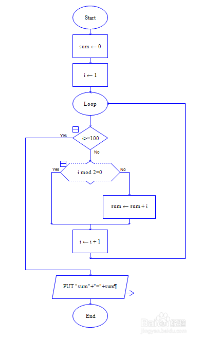
用流程图计算1-100奇数的和?
图片尺寸650x413
raptor程序设计例题参考答案课案
图片尺寸920x1302
文档下载 所有分类 > 流程图编程参考(答案)raptor程序设计评分标准 1
图片尺寸593x793
关于raptor的简单使用
图片尺寸543x780
raptor怎么按照从小到大的顺序输出数
图片尺寸1280x2783
一加二加三之一百用流程图表示
图片尺寸554x548
1加到100的简便方法?
图片尺寸480x270
给定n为1,sum为0,如果n 小于等于100时,进行sum = n,直到n超过100
图片尺寸554x416
1 打开raptor,看到raptor程序界面 2 拖入一个赋值框 赋值:i ← 100 3
图片尺寸316x703
raptor怎么计算计算从1到100奇加偶减的数据总和?
图片尺寸417x668
raptor迭代斐波那契数列
图片尺寸1355x2048
raptor流程图编程ppt
图片尺寸1080x810
代码及运行结果 题目3 水仙花数 流程图
图片尺寸502x857
设计求1 2 3 4…… 99 100的和的算法,并画出相应的程序框图
图片尺寸272x451
raptor经典例题1计算复活节日期闰年蚂蚁爬格求最大公约数和最小公倍
图片尺寸700x714
三,流程图
图片尺寸411x676
下列流程图用于从数组k中找出一切满足:k(i) k(j)=m的元素对(k(i),k(j
图片尺寸464x425