rationalize

【ted-ed】人们如何合理化商业欺诈 how people rationalize fraud_哔
图片尺寸1307x817
"阅"享时刻-rationalize
图片尺寸1080x1439
how to rationalize the deaths of unarmed black men at the hands
图片尺寸658x438
rationalize官方的笔记_绘画_文化_绘画
图片尺寸1080x607
bsnl rationalizes activation of 2g/3g data plan, new voucher of
图片尺寸1201x601
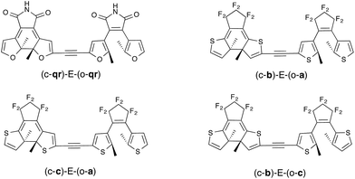
a curve-crossing model to rationalize and optimize diarylethene
图片尺寸550x250
v12 powered art : you cant rationalize cars like these. theyre
图片尺寸500x750
download surfaces reporter media kit- best architecture magazine
图片尺寸989x517
rationalize(rationalized)_竞价网
图片尺寸215x304
rationalize - 冥想
图片尺寸1080x1439
v12 powered art : you cant rationalize cars like these. theyre
图片尺寸487x655
a curve-crossing model to rationalize and optimize diarylethene
图片尺寸980x496
a curve-crossing model to rationalize and optimize diarylethene
图片尺寸980x587
a curve-crossing model to rationalize and optimize diarylethene
图片尺寸392x352
rationalize-rationalize - 早旭阅读
图片尺寸506x300
a curve-crossing model to rationalize and optimize diarylethene
图片尺寸392x198
a curve-crossing model to rationalize and optimize diarylethene
图片尺寸392x235
英语单词博览098 可预测的非理性
图片尺寸285x418
how curtis luckett iii rationalizes the necessity of structure a
图片尺寸1024x576
早晨- x.zhan
图片尺寸500x169