retinoic

natural ingredients retinoic acid soothing private label skin
图片尺寸1920x1080
all-trans-retinoic acid modulation of proliferation and adhesion
图片尺寸827x1167
retinoic acid: functions, regulation and health effects
图片尺寸659x1000
4-oxo-retinoic acid
图片尺寸256x256
retinoic acid signalling during development
图片尺寸1280x508
the retinoic-like juvenile hormone controls the looping of left
图片尺寸1280x751
retinoic acid cream
图片尺寸640x640
脸上贴金是什么感受
图片尺寸1080x1439
维甲酸 retinoic acid 302-79-4 维a酸 化妆品原料 1kg/袋
图片尺寸800x800
retinoic acid receptor antagonists, mir-10a inhibitors and
图片尺寸1228x1913
retinoic acid 20% body peels exfoliate skin whitening reduce
图片尺寸400x266
pharmacompass search results for "retinoic"
图片尺寸300x300
process for the preparation of 9-(z) retinoic acid
图片尺寸1024x349
玫瑰果油富含集中trans-retinoic酸,起到肌肤自然修复的功能.
图片尺寸1600x898
retinoic acid receptor composition and method for identifying
图片尺寸2154x2401
cas 75664-64-1 retinoic acid,5,6-dihydro-5,6-dihydroxy-, methyl
图片尺寸300x300
retinoicacidpowder
图片尺寸300x300
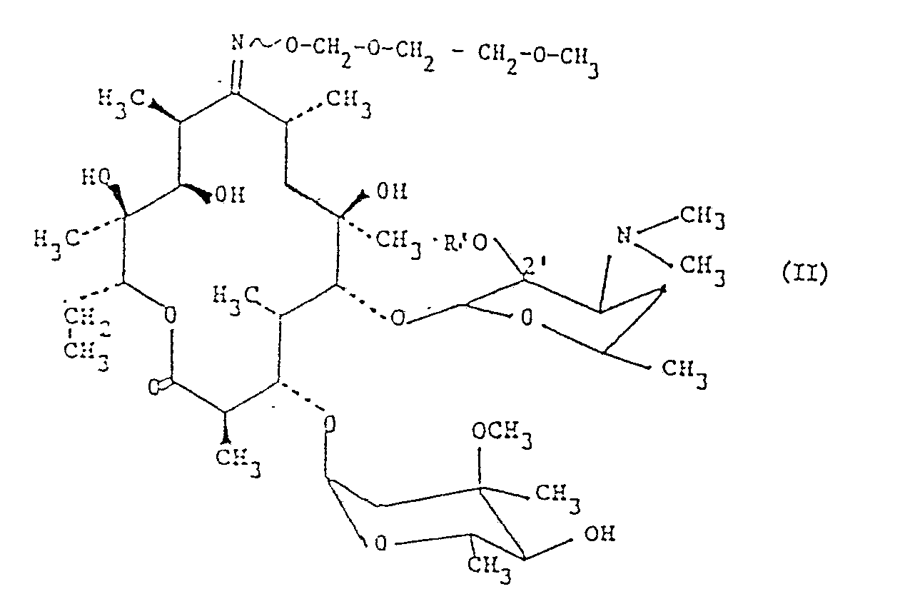
retinoic esters of macrolides, method for their preparation and
图片尺寸1289x860
retinoic acid cream
图片尺寸640x640
high quality tretinoin;vitamin a acid;retinoic acid
图片尺寸609x384