ru7088r电路图

tda7088调频接收机
图片尺寸759x655
fhp100n07国产场效应管与ru7088参数性能相同可替换使用
图片尺寸399x282
喇叭保护电路 r jian r1 1k ds1 led0 d1 vd1 relay1 cd1 ru1 10k ic1
图片尺寸1028x880
选择杰华特输入输出全解决
图片尺寸640x427
tda7088电路图
图片尺寸496x443
控制器场管 p75nf75 p80nf70 hy1808p ru75n08r ru7088r irf2807
图片尺寸744x745
ru6099r 全新正品 ru6099 可代替 irf3205 大功率 逆变器 mos管
图片尺寸450x449
hifidiy论坛-试做廉栅输入807单端 - powered by discuz!
图片尺寸1097x870
橡胶2504(ru2504)_行情中心_东方财富网
图片尺寸520x365
上海交通大学张万斌advsci一锅法ruru催化不对称顺序氢化反应实现立体
图片尺寸484x731
锐骏ru65r580p封装to-220f led电源 适配器-阿里巴巴
图片尺寸1920x1920
展开全部 ru7088r是场效应管,管脚识别如图
图片尺寸443x436
r矩形树状图 treemap_r treemap_santiagoru的博客-csdn博客
图片尺寸634x633
橡胶2504(ru2504)_行情中心_东方财富网
图片尺寸578x276
nature子刊碳桥连接ni单原子和ru纳米粒子实现稳定催化her
图片尺寸779x249
p位于b端,闭合开关s,测出这时rx两端的电压为u :rx=u ru u .
图片尺寸774x499
济宁市销售k1oyo调心滚子轴承22210rw33 2ru 库存现货-阿里巴巴
图片尺寸360x360
(图源:ru官网)碍于种种因素,罗格斯大学在去年共累计了1.
图片尺寸1080x585
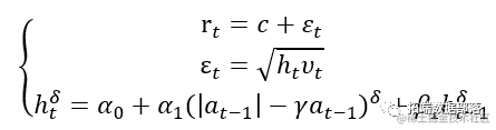
r语言garch族模型正态分布tged分布egarchtgarch的var分析股票指数
图片尺寸445x117
不知道卖家朋友是否了解"ru"标识呢?
图片尺寸640x328