sin270

180°|270°|360°|角a的弧度|0sin|01|0—1|0cs|1|0—|—|—|—1
图片尺寸496x702
数学学霸帮帮忙,sin270度在第几象限?sin180度在第几象限?
图片尺寸780x1052
打圈的这一步是把x2分之pai带入式子得出sin90度1sin270度1吗
图片尺寸720x914
打圈的这一步是把x2分之pai带入式子得出sin90度1sin270度1吗
图片尺寸720x916
求sin90度一cos180度 sin270度一cos0度的值
图片尺寸780x1040
sin,cos,tαn怎么算
图片尺寸480x270
复习 角 弧度 0º 90º 180º 270º 360º
图片尺寸1080x810
2,其它函数值:sin90o=1,cos0o=1,cos90o=0,cos180o=-1,cos270o=0,cos
图片尺寸494x475
sin30度怎么算?
图片尺寸480x270
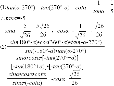
已知α是第二象限角,tan(α-270°)=1/5.(1)求sinα和--在线问答
图片尺寸447x337
sin60度是多少用分数表示
图片尺寸480x270![正确的是 [ ] a.cos( x)=sinx b.sin c.tan(-x)=cot d.](https://i.ecywang.com/upload/1/img2.baidu.com/it/u=1225391806,2600003461&fm=253&fmt=auto&app=138&f=GIF?w=270&h=243)
正确的是 [ ] a.cos( x)=sinx b.sin c.tan(-x)=cot d.
图片尺寸270x243
画图:r=a(1-sinθ).
图片尺寸491x388
sin90度等于多少(sin270度等于多少)插图
图片尺寸450x338
sin180度等于多少,sin270度等于多少(纳米材料真的是危害健康的隐形
图片尺寸600x399
sin怎么转化为arcsin,三角函数与反三角函数相互转换
图片尺寸480x270
sin180度等于多少,sin270度等于多少(纳米材料真的是危害健康的隐形
图片尺寸533x799
480_270
图片尺寸480x270
函数y=sin06t怎么求导数,复合函数求导数的方法?
图片尺寸480x270
sin(270/7度)请用根式表示
图片尺寸717x271