singletoxygen

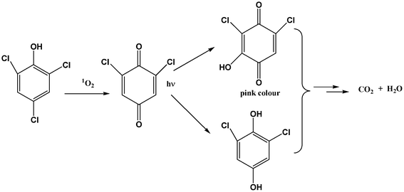
singlet oxygen initiated cascade transformation of a simple di
图片尺寸353x219
singlet oxygen
图片尺寸518x291
singlet oxygen initiated cascade transformation of a simple di
图片尺寸380x262
专利us20070059316 - singlet oxygen photosensitizers activated by
图片尺寸1659x1957
reagent for determining singlet oxygen
图片尺寸546x655
singlet oxygen photogeneration and 2,4,6-tcp
图片尺寸567x270
aqueous singlet oxygen reaction kinetics of furfuryl alcohol
图片尺寸383x225
【预订】singlet oxygen, uv-a and ozone
图片尺寸500x500
processes for singlet oxygen generation and fullerene oxidation
图片尺寸1996x2448
magnetic field dependence of singlet oxygen generation by
图片尺寸1200x1382
magnetic field dependence of singlet oxygen generation by
图片尺寸1200x1669
singlet oxygen initiated cascade transformation of a simple di
图片尺寸380x374
molecular devices based on reversible singlet oxygen binding in
图片尺寸653x770
photogenerated singlet oxygen over zeolite-confined carbon dots
图片尺寸1259x1370
chemiluminescence probe for the detection of singlet oxygen in
图片尺寸784x383
ased on switching the singlet oxygen on-off process.
图片尺寸1000x1325
magnetic field dependence of singlet oxygen generation by
图片尺寸785x975
methods and compositions for generating singlet oxygen
图片尺寸896x581
reagent for singlet oxygen determination
图片尺寸864x904
processes for singlet oxygen generation and fullerene oxidation
图片尺寸1403x638