sinx/x的积分

sinx的n次方的不定积分怎么求?
图片尺寸562x484
(sin x)整体四次方的不定积分.
图片尺寸640x480
(xsinx)平方的不定积分
图片尺寸600x648
sinx四次方的积分怎么求
图片尺寸1018x392
01根据公式,y=sinx的不定积分为-cosx c02y=(sinx)^2的不定积分需要用
图片尺寸682x820
不定积分(sinx的平方)dx=?
图片尺寸294x410
cosx*(sinx)^2的不定积分是多少呀
图片尺寸1600x900
x(sinx)的积分
图片尺寸780x1040
sinx的积分
图片尺寸530x400
含x/(sinx)的定积分
图片尺寸469x567![=1/2=∫1/[1 (sin)x^4]d(sinx)^2 (sinx)^2=t 积分](https://i.ecywang.com/upload/1/img2.baidu.com/it/u=579579148,666475643&fm=253&fmt=auto&app=138&f=JPEG?w=500&h=674)
=1/2=∫1/[1 (sin)x^4]d(sinx)^2 (sinx)^2=t 积分
图片尺寸780x1052
ysinx正弦函数15次方倒数的不定积分
图片尺寸500x584
y=sinx在(0,π)上的定积分
图片尺寸360x314
01根据公式,y=sinx的不定积分为-cosx c02y=(sinx)^2的不定积分需要用
图片尺寸682x838
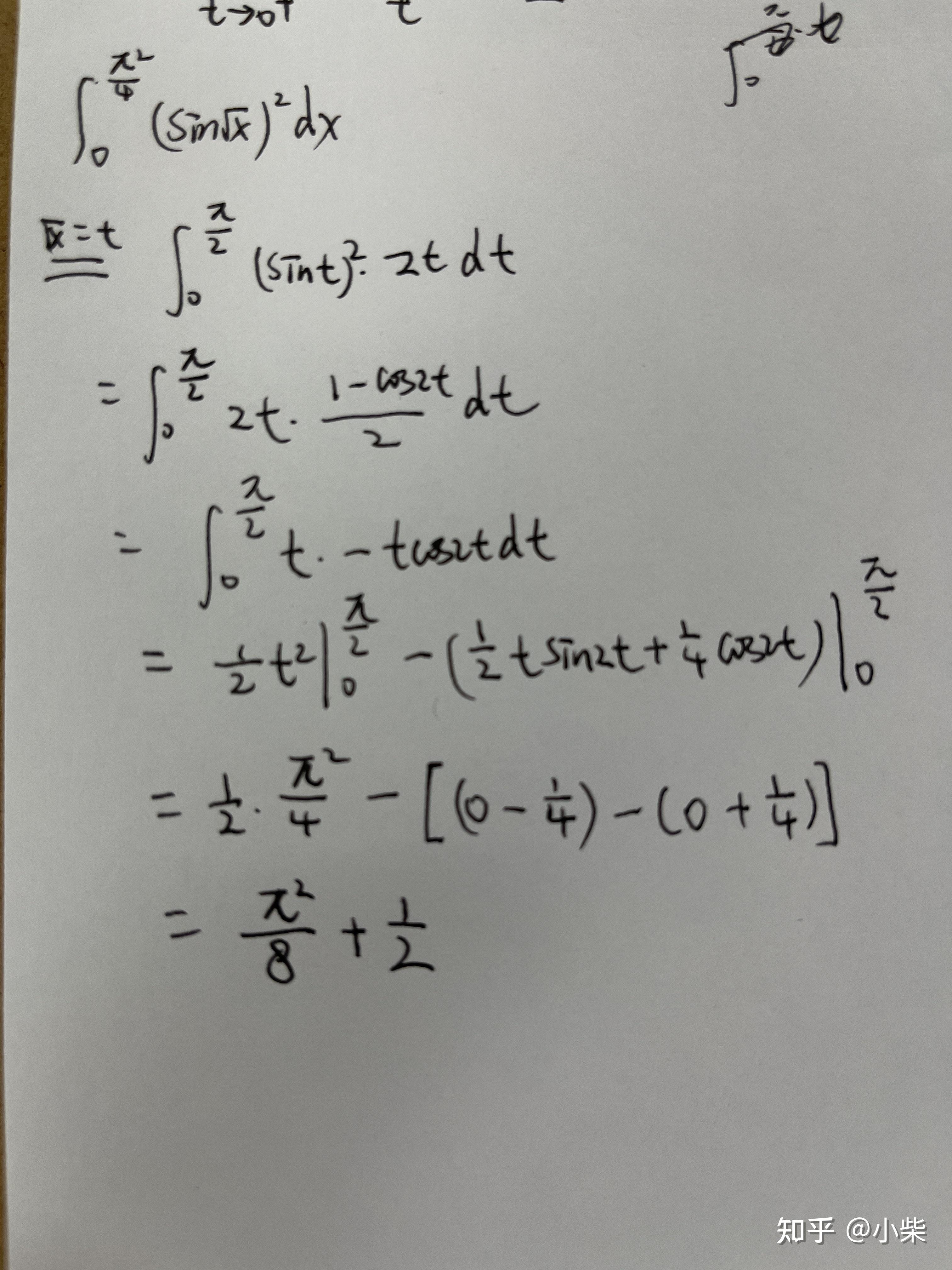
(sin√x)05在0到π05/4的定积分怎么求? - 知乎
图片尺寸3024x4032
求积分 1/1 sinx的不定积分_百度教育
图片尺寸551x313
求解答:计算定积分 x/(sinx^2) 范围π/4到π/3 谢谢
图片尺寸724x336
求sin^4x和sin^6x的不定积分._百度教育
图片尺寸568x800
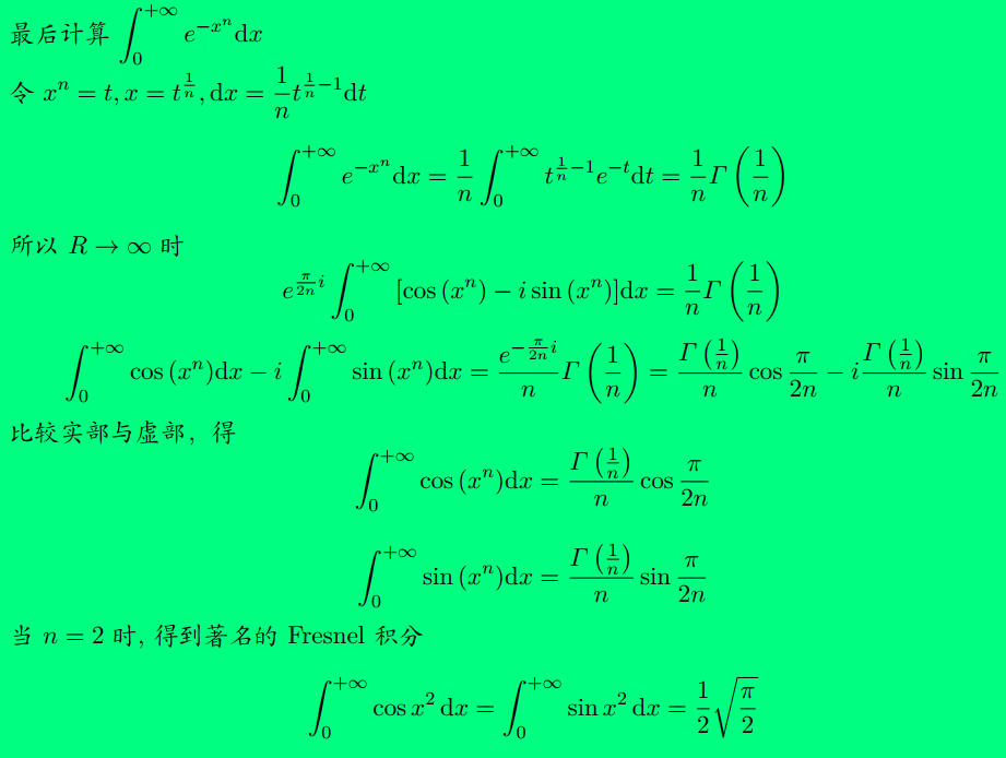
sin(x^2) 0到正无穷的积分值是多少?
图片尺寸921x694
1/sin06x积分怎么算?
图片尺寸1512x1544