sinx的平方的导数

sinx平方的导数是多少含推导计算过程
图片尺寸640x340
正弦平方的导数为什么等于sin2x
图片尺寸612x816
x)-f(x0)在点x0处可导并称这个极限值为函数y=f(x)在点x0处的导数记为
图片尺寸640x341
导数f(x)=sinx的平方的原函数
图片尺寸748x1024
大学高数.求sinx的三次方的n阶导数
图片尺寸1384x616
sinx的导数
图片尺寸551x382
2.2导数的运算法则ppt
图片尺寸1080x810
展开全部 导数=2(sinx-1)cosx 追问 不是cosx嘛 追答 1 已赞过 也热
图片尺寸212x118
y=arcsin(sinx的平方)的导数
图片尺寸892x912
sinx的五次方的n阶导数怎么算
图片尺寸600x683
sinx的n阶导数
图片尺寸640x341
求y=x^sinx的导数,,,老师说要三种解法
图片尺寸346x272
求cosx的sinx次方的导数
图片尺寸440x428
y=(sinx)^4的n阶导数,过程一并带上,谢谢.
图片尺寸771x285
sinx的n次方的不定积分怎么求?_百度教育
图片尺寸562x484
y等于x的sinx次方求导
图片尺寸500x667
y=x^2sinx,求y的十阶导数
图片尺寸1533x596
求cosx的sinx次方的导数
图片尺寸440x428
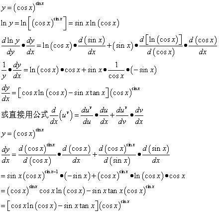
求导:(cosx)的sinx次方
图片尺寸346x254
(sinx)^lnx的导数
图片尺寸1086x802