sinxcosx

函数y= sinx和y= cosx的图图片
图片尺寸800x800
y 1 0 0 0 2 4 0 2 3 4 3 2 2 0 1 -1 y=sin2x y=sinx
图片尺寸1080x810
设max{sinx.cosx}表示sinx与cosx中的较大者.若函数f(x)=max{sinx.
图片尺寸526x255
π9 (6) y=sinx,y=cosx及直线x=,x=π; 44 解:d=2 (sinx cosx)dx
图片尺寸1066x889
f(x)为sinx与cosx值中的较大值.
图片尺寸402x196
sinx和cosx的n次方图像
图片尺寸946x1261
问一下函数y=sinxcosx的图像
图片尺寸400x400
已知x是锐角, sinx cosx取值范围是多少 .我想要过程
图片尺寸1134x1134
三角函数积分总结(一)~ sinx与cosx混合积分
图片尺寸2222x2263
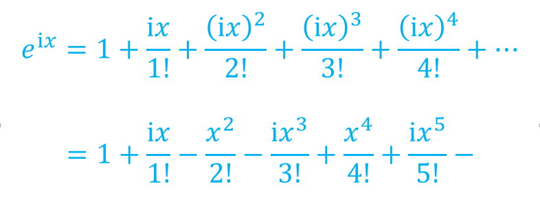
重用i=-1,i=-i,i=1为了进行比较,请导出sinx和cosx的麦克劳林展开
图片尺寸786x294
正弦函数:y=sinx余弦函数:y=cosx正切函数:y=tanx正弦函数:y=sin x
图片尺寸700x439
函数y=sinx xcosx的图象是什么
图片尺寸512x384
正弦函数sinx,余弦函数cosx的图像
图片尺寸540x335
三角函数积分总结(一)~ sinx与cosx混合积分
图片尺寸2588x2262
sinx为什么能转换成cosx?
图片尺寸720x530
三角函数积分总结(一)~ sinx与cosx混合积分
图片尺寸2352x2262
求曲线y=sinx,y=cosx与直线x=0,x=π所围成平面图形面积
图片尺寸480x431
当x=π/4或x=5π/4时,sinx=cosx 当π/4 x 5π/4时,sinx>cosx 当0 x
图片尺寸565x373
函数f(x)=|cosx| |sinx|.x∈[π2.
图片尺寸501x289
比如,1/1 x=∑x^n,e^x ㏑(1 x)sinxcosx1/(1-x)(1 x)^α_百度教育
图片尺寸367x421