sio2结构式怎么写

硅酸凝胶是一种高活性吸附物质,属非晶态物体,其分子式为msio2·nh2o
图片尺寸726x450![sio2的结构 网状结构决定了sio2具 有优良的物理和化学性 质 [sio4]](https://i.ecywang.com/upload/1/img0.baidu.com/it/u=1547217572,2667573558&fm=253&fmt=auto&app=138&f=JPEG?w=667&h=500)
sio2的结构 网状结构决定了sio2具 有优良的物理和化学性 质 [sio4]
图片尺寸1080x810
二氧化硅分子量二氧化硅是一种无机物,化学式为sio2,硅原子和氧原子长
图片尺寸486x648
干货| 石英,高岭土,滑石等几种常见矿物的表面活性基团详解!
图片尺寸1080x251
氮化硅
图片尺寸800x800
满意答案 热心问友 2010-07-22 平均到每个化学式,sio2中每个si成4个
图片尺寸500x339
17 2011-04-02 分子式怎么写 7 2013-11-24 二氧化硅的分子式是sio
图片尺寸768x1024
硅溶胶结构式图片|14808-60-7结构式图片
图片尺寸605x375![硅烷偶联剂修饰下sio2-甲基乙烯基硅橡胶分子界面的粘结性[j].](https://i.ecywang.com/upload/1/img2.baidu.com/it/u=2285415859,2710267980&fm=253&fmt=auto&app=138&f=JPEG?w=498&h=117)
硅烷偶联剂修饰下sio2-甲基乙烯基硅橡胶分子界面的粘结性[j].
图片尺寸1575x370
二氧化硅化学式,二氧化硅的物理性质和化学性质,二氧化硅的用途
图片尺寸500x375
二氧化硅的结构式是什么?
图片尺寸544x363
1313-96-8
图片尺寸605x375
气相胶体二氧化硅结构式图片|1186663-24-0结构式图片
图片尺寸605x375
结构式
图片尺寸554x301
白炭黑
图片尺寸220x220
二氧化硅的结构(二氧化硅的结构式和结构简式) - 风集网
图片尺寸1002x784
硅胶的结构式
图片尺寸500x276
白炭黑结构式
图片尺寸250x250
硅酸乙酯-32 cas 78-10-4;1109-96-2;11099-06
图片尺寸440x330
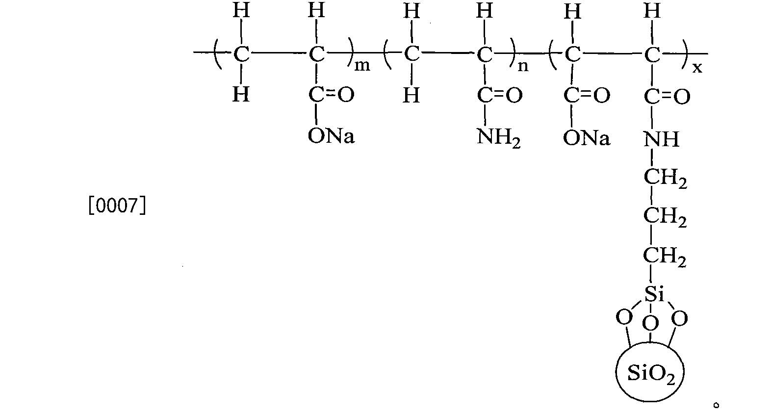
sio2功能单体三元共聚物驱油剂,其特征在于:所述 驱油剂的结构式如下
图片尺寸1572x844