socl2的电子式

氯化亚砜(socl2)又称亚硫酰氯,氯氧化硫,氧氯化硫
图片尺寸500x357
热点物质:氯化亚砜介绍以及高考解题应用
图片尺寸256x230
use of chiral secondary alcohol with socl2 and
图片尺寸880x328
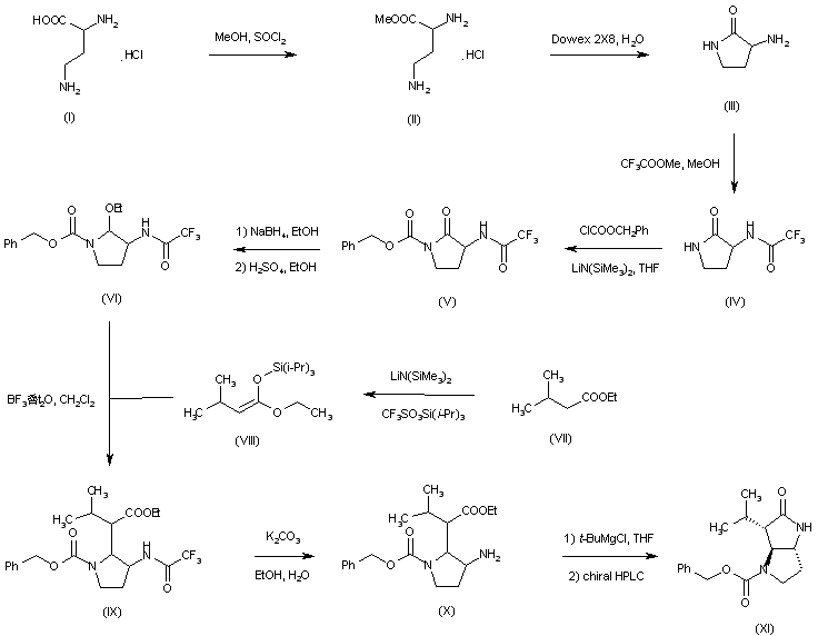
14-carboxylic acid derivativesppt
图片尺寸1080x810
合成路线图解说明: borane reduction of 3-tert-but
图片尺寸735x782
电子结构式
图片尺寸126x220
glu-val-phe
图片尺寸600x600
参考文献no.
图片尺寸736x572
原料环己甲酸,氯化亚砜如何合成环己基甲酰氯,通过什么反应.
图片尺寸436x140
浅谈有机化合物的空间构型
图片尺寸640x451
fluorine-containing liquid crystal of 4-(2,3,5
图片尺寸2269x1444
化学制药工艺学
图片尺寸500x350
官能团的转化醇的反应二氯代和溴代
图片尺寸896x406
氯化亚砜|thionyl chloride|7719-09-7|参数,分子结构式,图谱信息
图片尺寸428x274
亚硫酰氯(俗称氯化亚砜,socl2)是一种液态化合物,沸
图片尺寸610x264
在有机物结构中引入卤素原子的方法有哪些
图片尺寸450x251
马来酸桂哌齐特英文名称:cinepazide maleatecas:26328-04-1分子式:c
图片尺寸232x287
起搏器的锂电池工作时发生的反应为4li2socl24liclxso2则x的化学式为
图片尺寸630x231
苯磺酰氯的应用
图片尺寸1024x844