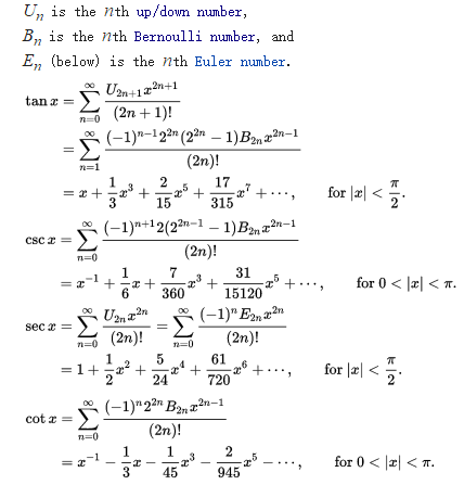
tanx的泰勒公式

tanx的泰勒展开公式
图片尺寸500x199
hlwrc高数tanx泰勒公式麦克劳林展开式微积分海离薇
图片尺寸720x1560
高等数学,tanx的泰勒展开是什么?和sinx相同吗
图片尺寸612x816
tan(x)的泰勒展开有通项公式吗?
图片尺寸1080x1595
tanx的泰勒公式,例题有疑问,红线部分,他凭什么得到的
图片尺寸1067x648
tanx的泰勒展开式
图片尺寸570x228
tanx的泰勒展开
图片尺寸590x331
常见的泰勒公式展开式大全
图片尺寸600x726
tanx的泰勒展开式tanx的泰勒展开式怎么推导的
图片尺寸349x538
求大神把泰勒公式中常用函数的展开式写给我谢谢了,要详细的
图片尺寸1091x661
tanx的泰勒展开式
图片尺寸600x350
泰勒公式与函数展开的操作方法
图片尺寸740x354
泰勒公式
图片尺寸802x1296
泰勒公式帕德逼近麦克劳林洛朗级数构造法
图片尺寸1080x1527
高等数学泰勒公式.麻烦帮图中右边缺的麦克劳林n项和公式写一下.
图片尺寸668x438
tanx的泰勒展开式
图片尺寸640x352
具有美感的泰勒公式乘法天下第一arcsinxarctanxsinxtanx展开式排列
图片尺寸720x1440
展开全部 你好! 本题需要用到泰勒公式 详解如图 向左转 向右转
图片尺寸342x428
知乎
图片尺寸428x447
求大神把泰勒公式中常用函数的展开式写给我谢谢了,要详细的
图片尺寸1082x625