topsis

topsis管理决策评价多目标多准则技术支持
图片尺寸348x354
topsis法ppt
图片尺寸1080x810
数学建模评价模型优劣解距离法topsis
图片尺寸2493x1061
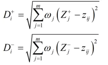
数学建模二优劣解距离法topsis模型部分
图片尺寸899x1058
一个简单实用的评价模型topsis理想解法
图片尺寸830x740
原理代码python实现topsis分析法优劣解距离法
图片尺寸601x613
topsis法优劣解距离法介绍及python3实现
图片尺寸720x660
topsis法ppt
图片尺寸1080x810
知乎
图片尺寸739x578
数学建模笔记——评价类模型之topsis
图片尺寸1240x488
spss基本分析方法之优劣解距离法topsis
图片尺寸720x480
topsis法ppt
图片尺寸1080x810
数学建模模型大全数学建模笔记评价类模型之topsis
图片尺寸1135x767
【02】topsis优劣解距离法:01-topsis优劣解距离法模型讲解
图片尺寸650x451
如何搞定熵权topsis
图片尺寸697x645
topsis法
图片尺寸386x296
topsis综合评价
图片尺寸371x222
标准的topsis方法及matlab应用
图片尺寸1039x441
如何用topsis法计算权重?
图片尺寸640x402
p data-id="gnasnefw63">金佛铁线莲( i>clematis gratopsis /i> w.
图片尺寸700x468