ttx河豚毒素

河豚毒素(ttx)elisa检测试剂盒河豚毒素酶联免疫试剂盒-阿里巴巴
图片尺寸700x700
p>河鲀毒素(tetrodotoxin,ttx),分子式为c sub>11 /sub>h sub>17
图片尺寸783x431
cas:4368-28-9优质现货,河豚毒素标准品厂家
图片尺寸1920x1094
动物|ttx|河豚鱼_网易订阅
图片尺寸500x500
河豚毒素(ttx)elisa检测试剂盒河豚毒素酶联免疫试剂盒
图片尺寸270x270
河豚毒素ttx是一种离子通道阻断剂
图片尺寸384x216
河豚毒素tetrodotoxinttx及其药理作用
图片尺寸229x261
河豚毒素ttx
图片尺寸605x375
p>河鲀毒素(tetrodotoxin,ttx),分子式为c sub>11 /sub>h sub>17
图片尺寸775x517
p>河鲀毒素(tetrodotoxin,ttx),分子式为c sub>11 /sub>h sub>17
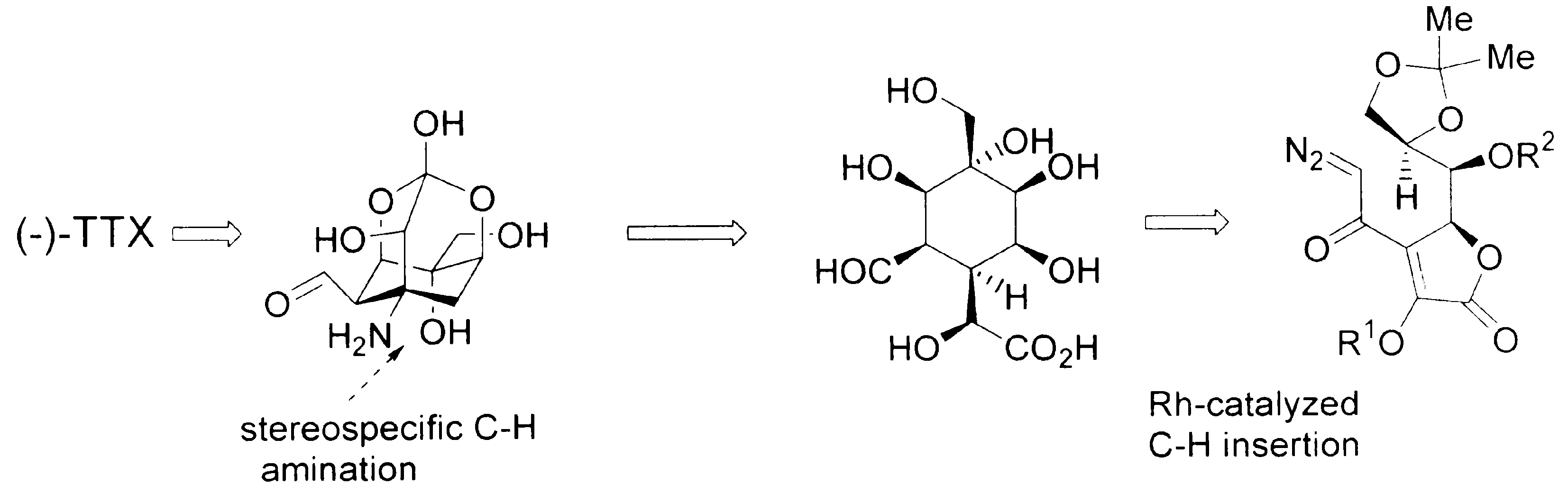
图片尺寸3307x1042
河豚毒素ttxelisa
图片尺寸800x530
p>河鲀毒素(tetrodotoxin,ttx),分子式为c sub>11 /sub>h sub>17
图片尺寸1326x726
河豚毒素ttxelisa试剂盒
图片尺寸834x834
ttx是自然界非蛋白毒素中较强烈的一种毒素
图片尺寸1080x938
看古人怎么吃河豚提前两年做河豚酱为吃河豚甚至愿意喝脏水
图片尺寸1066x799
p>河鲀毒素(tetrodotoxin,ttx),分子式为c sub>11 /sub>h sub>17
图片尺寸1416x1245
《科学》:颜宁小组发文解析河鲀毒性为何那么强
图片尺寸600x666
动物|ttx|河豚鱼_网易订阅
图片尺寸660x665
p>河鲀毒素(tetrodotoxin,ttx),分子式为c sub>11 /sub>h sub>17
图片尺寸1095x776
河豚毒素标品
图片尺寸1200x823