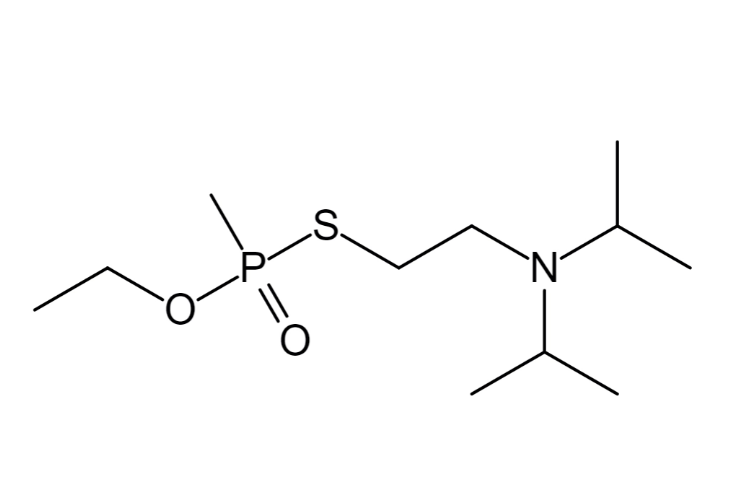
vx神经毒素结构式

vx神经毒气
图片尺寸300x202
福尔摩斯再谈vx 神经毒剂是怎样的一种化学武器?
图片尺寸620x223
vx神经毒素的致死量为10mg,一小滴vx液体滴到皮肤,就会导致死亡.4.
图片尺寸736x482
神经性毒剂
图片尺寸268x216
有机磷vx神经毒剂美国大片勇闯夺命岛
图片尺寸555x281
vx神经毒气
图片尺寸120x120
致朝鲜籍男子死亡的vx(神经毒剂)究竟有多"毒"?
图片尺寸580x413
html xmlns="http://www.
图片尺寸486x482
最先发现的一种神经毒素之一.
图片尺寸600x227
速递 | fda批准首款口服狼疮性肾炎创新疗法
图片尺寸1041x793
vx神经毒剂的解药藏在转基因羊奶中
图片尺寸620x469
靴套在36°c试验条件下对vx神经毒剂和梭曼神经毒剂≥90分钟;3.
图片尺寸750x750
selumetinib 分子结构式(图片来源: pubchem 网站)
图片尺寸300x300
vorinostat (saha) (hdac抑制剂)
图片尺寸600x400
vx神经毒剂的解药藏在转基因羊奶中
图片尺寸457x528
vx神经毒素
图片尺寸1272x1136
vx神经毒剂
图片尺寸518x470
杀死金正男的vx神经毒剂到底是什么
图片尺寸640x535
67500-31-6 结构式图片
图片尺寸300x300
solriamfetol hydrochloride结构式
图片尺寸365x365