y=2-x平方的图像

函数y=2x平方的图像对称轴是------?顶点坐标是------?_百度教育
图片尺寸310x223
y=2x平方的表格和函数图像
图片尺寸315x443
y等于-2x平方2 y的取值范围
图片尺寸720x1280
画出函数 y=(x 2)的平方的图像.
图片尺寸394x306
函数y=2的x次方 和函数y=x的平方有几个公共点?
图片尺寸406x675
y=x 当x1=1, x2= -1时, f(-1)=f(1) 当x1=2, x2= -2时, f(-2)=f
图片尺寸1080x810
画出二次函数y=x2-2x的图象.利用图象回答:(1)方程x2-2x=0的解是什么?
图片尺寸807x888
用图象法求函数y=2x的平方 x-1的值域
图片尺寸475x490
y=2^(-x)的图像与y=2^x的图像关于y轴对称
图片尺寸783x459
已知函数yx22x3在闭区间0m上有最大值3最小值2则实数m的取值范围是
图片尺寸898x735
焦点在x轴上的双曲线图像 y x2 y2 b b2 f1 a1 a2 f2 x
图片尺寸1080x810
2反比例函数的图像和性质1>义务教育教科书(人教版)九年级数学下册你
图片尺寸1080x1158
2反比例函数的图像和性质1>义务教育教科书(人教版)九年级数学下册你
图片尺寸1080x1527
2的x次方的图像
图片尺寸600x400
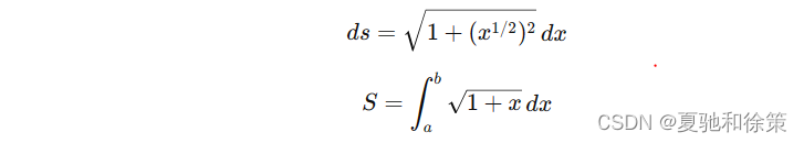
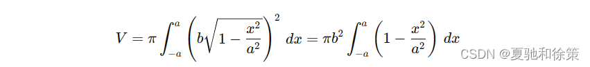
直角坐标情形在直角坐标系中,由曲线 34=35(33)y=f(x) 以及
图片尺寸827x80
2反比例函数的图像和性质1>义务教育教科书(人教版)九年级数学下册你
图片尺寸1080x1412
2反比例函数的图像和性质1>义务教育教科书(人教版)九年级数学下册你
图片尺寸1080x1527
直角坐标情形在直角坐标系中,由曲线 34=35(33)y=f(x) 以及
图片尺寸851x97
直角坐标情形在直角坐标系中,由曲线 34=35(33)y=f(x) 以及
图片尺寸727x130
函数y=|2的x次方-2|的图像怎么画
图片尺寸335x314