z变换

一些常见的z变换
图片尺寸920x1302
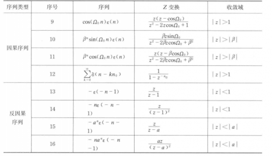
常用z变换
图片尺寸644x880
拉普拉斯变换和z变换表共2页
图片尺寸920x1302
常用的z变换公式表
图片尺寸627x1041
常用的z变换公式表doc
图片尺寸920x1303
常用的z变换公式表
图片尺寸920x1303
一些常见的z变换
图片尺寸920x1302
拉氏变换与z变换的基本公式及性质
图片尺寸920x1302
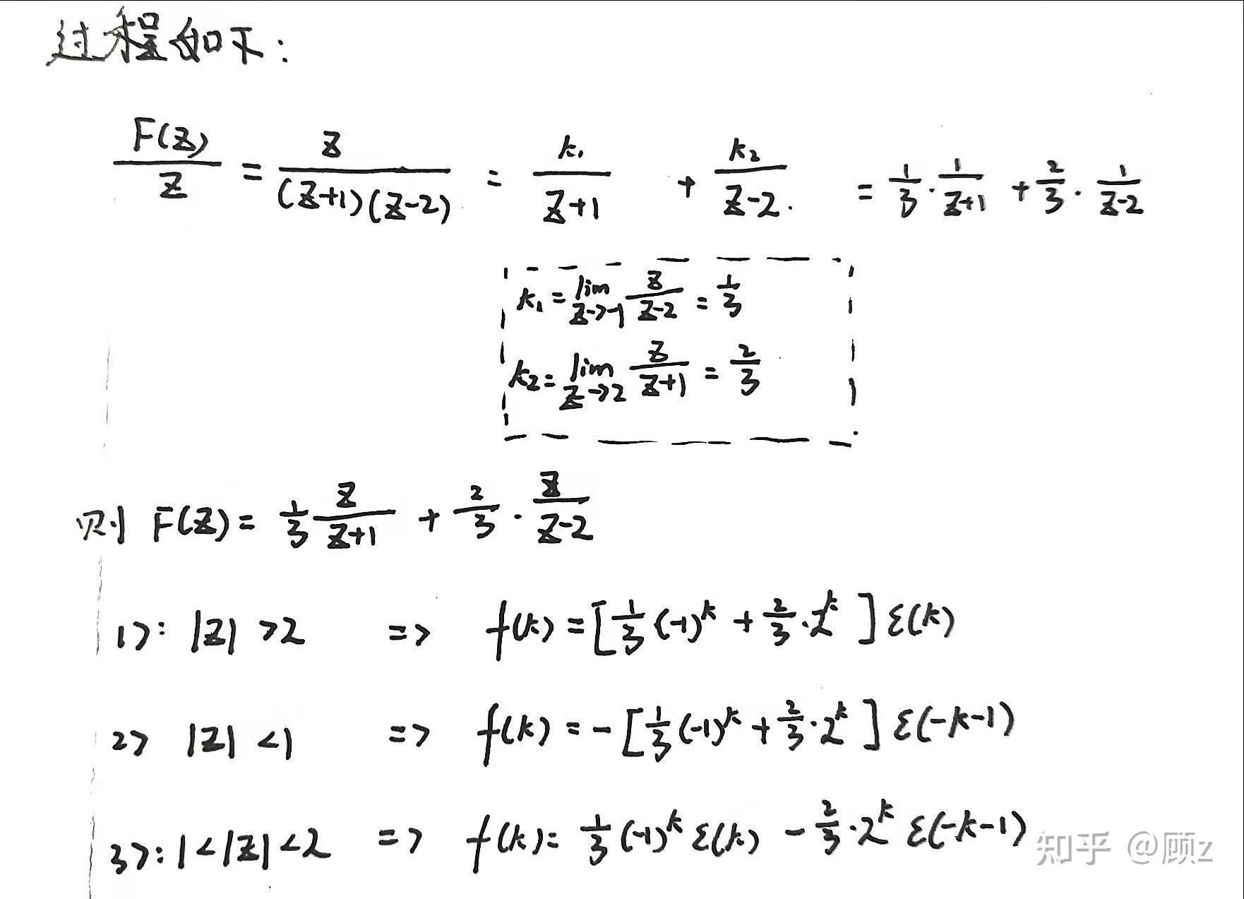
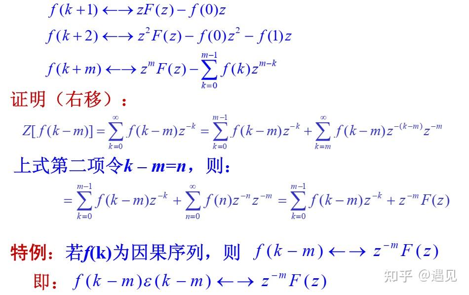
《信号与系统》z变换总结 - 知乎
图片尺寸1762x1273
z变换
图片尺寸800x651
z变换
图片尺寸1080x810
z变换 - 知乎
图片尺寸950x598
z变换公式
图片尺寸627x1026
【z变换】1. z变换
图片尺寸689x471
z变换 - 知乎
图片尺寸1006x593
z变换 -华强电子网
图片尺寸502x671
z变换 - 知乎
图片尺寸938x602
z变换公式表 - 知乎
图片尺寸500x822
z变换
图片尺寸951x1021
p data-id="gncpbwt47k">z变换(z-transformation)是对离散序列进行
图片尺寸871x499