z根号下x2y2图像

已知函数yx22x3在闭区间0m上有最大值3最小值2则实数m的取值范围是
图片尺寸898x735
二次方程根的分布与在闭区间上的最值归纳_word文档在线阅读与下载
图片尺寸742x883
2次函数y=x2图像
图片尺寸346x354
docx - 人人文库
图片尺寸1240x1753
2,对函数y=3x 根号(x^2-2x)的值域的思考
图片尺寸640x409
2015年新人教版九年级上第1课时二次函数与一元二次方程之间的关系
图片尺寸966x589
根号2 的图像大概是什么样的
图片尺寸488x277
zx2y2的的图形怎么画
图片尺寸720x488
二元函数图像 二元函数图像 z = xy
图片尺寸1080x810
在同一个平面直角坐标系中,画出一次函数y1=2x-4,y2=x 1的图象,根据
图片尺寸530x433
画出函数y=x2的图像. _百度教育
图片尺寸215x217
497_209
图片尺寸497x209
(xx·河北模拟)如图,已知二次函数y1=x2-2tx 2t-1(t>1)的图像为抛物线
图片尺寸861x883
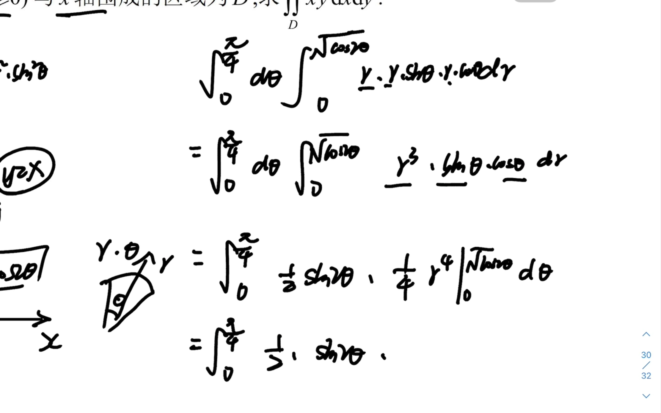
2021年第21题,双扭线的求面积,二重积分
图片尺寸2304x1440
下面求直线pc解析式:由bc∥pc知两直线解析式中的k相同.
图片尺寸640x480
列表: x … - - … y … - … 描点并连线
图片尺寸807x888
y=ln(x √1 x^2)的导数
图片尺寸916x719
定义变为:如果极限存在的话(即对于所有x,无论我们让h以哪个方向趋近
图片尺寸640x130
在平面直角坐标系中,已经画出了二次函数y=2x2①的图象,(1)请在这个
图片尺寸452x489
z=y/x,z=根号下x^2 y^2
图片尺寸728x582