双缩脲反应

152-双缩脲反应原理 必修一有机物鉴定中涉及到了双缩脲试剂检测蛋白
图片尺寸2381x1280
双缩脲反应的介绍
图片尺寸489x322
152-双缩脲反应原理 必修一有机物鉴定中涉及到了双缩脲试剂检测蛋白
图片尺寸2156x1280
生入学考试 2017四川农业大学生物化学考研854蛋白质ppt 双缩脲反应
图片尺寸1080x810
化学 2-folin-酚试剂法测定蛋白质含量ppt 原理1 第一步:双缩脲反应
图片尺寸1080x810
双缩脲反应的双缩脲反应的定义
图片尺寸602x396
双缩脲反应:碱性环境 双缩脲 双缩脲络合物
图片尺寸1080x810
双缩脲词条图册_百度百科
图片尺寸420x239
2015年高中生物会考实验讲解ppt
图片尺寸1080x810
双缩脲
图片尺寸282x151
(1)蛋白质的检测 双缩脲试剂 双缩脲试剂 甲 蛋清 稀释液 (无色) 蛋清
图片尺寸1080x810
为什么双缩脲试剂不能检测二肽?(为什么它只能检测两个及以上肽键)?
图片尺寸772x545
>生物-->双缩脲反应是指具有两个或两个以上肽键的化合物在碱性条件
图片尺寸585x512
高中生物实验大全
图片尺寸549x220
双缩脲反应
图片尺寸3526x2474
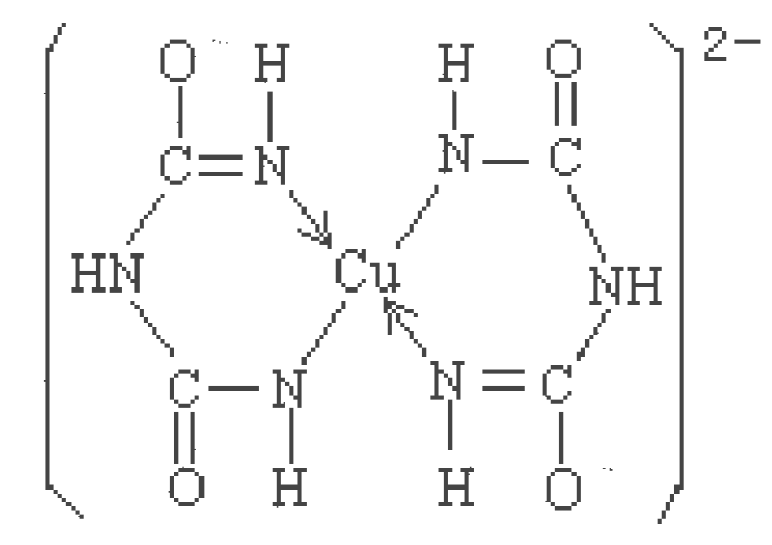
在碱性环境中, 能与硫酸铜结合成紫色的化合物,此反应 称为双缩脲反应
图片尺寸1080x810
双缩脲试剂 甲 蛋清 稀释液 (无色) 蛋清 稀释液 (紫色) 双缩脲试剂 1
图片尺寸1080x810
⒉双缩脲反应(biuret reaction)蛋白质和多肽分子中肽键在稀碱溶液
图片尺寸1024x768
蛋白质和氨基酸的呈色反应
图片尺寸576x437
【双缩脲】双缩脲反应检验蛋白质
图片尺寸960x1280